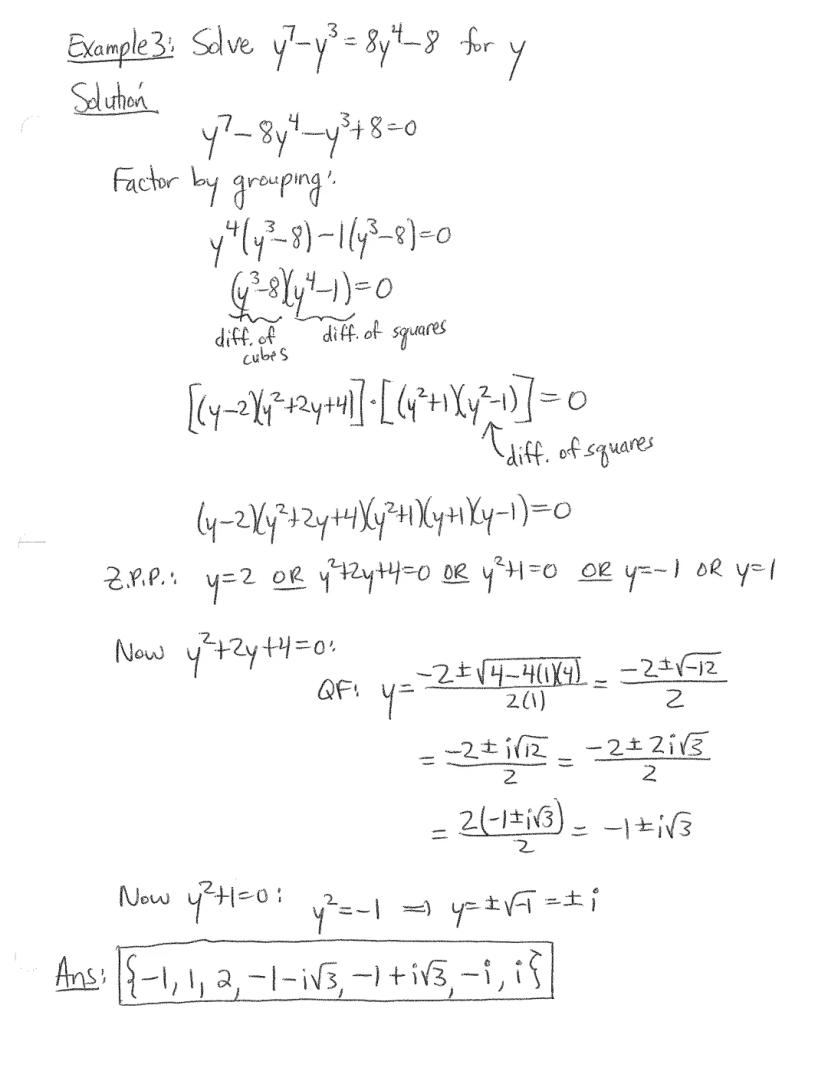
A comprehensive guide to Introduction to polynomial equations and ZPP method, focusing on solving higher-degree polynomial equations... Show more
Sign up to see the contentIt's free!
Access to all documents
Improve your grades
Join milions of students
By signing up you accept Terms of Service and Privacy Policy


