Solving systems of equations is like finding where two paths... Show more
Sign up to see the contentIt's free!
Access to all documents
Improve your grades
Join milions of students
By signing up you accept Terms of Service and Privacy Policy

0
0
Trevor
12/22/2025
Algebra 2
Solving Systems - Graphing and Substitution
46
•
Dec 22, 2025
•
Trevor
@trevk
Solving systems of equations is like finding where two paths... Show more







When you solve systems of equations, you'll encounter three possible scenarios:
Consistent and independent systems have exactly one solution where the lines intersect. This happens when the lines have different slopes and cross at a single point.
Consistent and dependent systems have infinitely many solutions. This occurs when the equations actually represent the same line - they have the same slope and y-intercept.
Inconsistent systems have no solutions. This happens with parallel lines that never intersect.
💡 Think of it like this: two different lines will either cross at one point (one solution), be the exact same line (infinite solutions), or never meet because they're parallel (no solution).
When graphing these systems, you can easily visualize which type you're dealing with by seeing how the lines relate to each other. This visual approach helps you understand what's happening with the algebraic solution.

The graphing method lets you visually find the point where two lines intersect. This intersection point represents the solution to the system - it's the only point that satisfies both equations simultaneously.
To solve by graphing:
Using a graphing calculator makes this process much easier:
🔍 When graphing by hand, make sure your coordinate plane is properly scaled so you can see the intersection clearly!
Graphing works well when the solution has nice, round numbers. However, if the solution involves fractions or decimals, you might want to use algebraic methods like substitution or elimination for more precision.

The substitution method is perfect when one variable can be easily isolated in one of your equations. It's like solving a puzzle by replacing one piece with another.
Here's how substitution works:
For example, with the system:
2x + y = -9
4x + y = 11
You can solve for y in the first equation to get y = -2x - 9, then substitute this into the second equation:
4x + (-2x - 9) = 11
2x - 9 = 11
2x = 20
x = 10
Then find y by plugging x = 10 back: y = -2(10) - 9 = -29
⚠️ Always use parentheses when substituting expressions to avoid sign errors!
Substitution is especially efficient when one equation already has a variable isolated or when a variable has a coefficient of 1, making it easy to solve for.

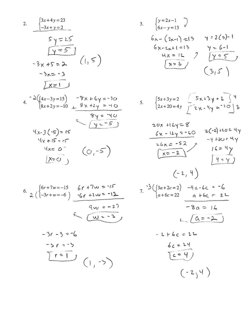
The elimination method works like magic when you want to make one variable disappear! This method is ideal when equations are in standard form .
With elimination, you:
For example, to solve:
3y + 2x = 16
5x - 3y = 12
The y-terms are already opposites , so adding eliminates y:
3y + 2x = 16
5x - 3y = 12
-----------
7x = 28
x = 4
Then substitute x = 4 back:
3y + 2(4) = 16
3y + 8 = 16
3y = 8
y = 8/3
🌟 Elimination is often faster than substitution when both equations are in standard form and when the coefficients are simple multiples of each other.
Elimination shines when the coefficients make it easy to create opposites through multiplication. Always look for the variable that's easiest to eliminate!

Elimination becomes second nature with practice. Let's look at common patterns:
When coefficients are already opposites , you can add immediately to eliminate that variable. If not, multiply one or both equations to create opposites.
For example, in this system:
5x + 3y = 2
2x + 20 = 4y
First rewrite the second equation: 2x - 4y = -20 Multiply the first equation by 4: 20x + 12y = 8 Multiply the second equation by 3: 6x - 12y = -60 Add: 26x = -52, so x = -2
Then find y by substituting back.
Sometimes substitution is more efficient. With this system:
y = 2x - 1
6x - y = 13
It's easier to substitute y = 2x - 1 into the second equation right away.
💡 Strategy tip: When one equation has a variable isolated , substitution is usually faster than elimination!
Always organize your work neatly, line up like terms, and check your solution by plugging it back into both original equations.

Not all systems have exactly one solution. When using elimination, pay attention to what happens after you add the equations:
If all variables cancel and you get a false statement like 0 = 3, the system is inconsistent with no solution. This means the lines are parallel and never intersect.
If all variables cancel and you get a true statement like 0 = 0, the system is consistent and dependent with infinitely many solutions. This means both equations represent the same line.
When solving a system and both variables cancel out, don't panic! This is valuable information telling you about the relationship between the equations:
🔑 Key insight: When both variables disappear during elimination, you've discovered something important about the system itself, not a mistake in your work!
Being able to classify systems as inconsistent, dependent, or independent will help you understand the geometric relationship between the lines and prepare you for more advanced topics in algebra.
Our AI companion is specifically built for the needs of students. Based on the millions of content pieces we have on the platform we can provide truly meaningful and relevant answers to students. But its not only about answers, the companion is even more about guiding students through their daily learning challenges, with personalised study plans, quizzes or content pieces in the chat and 100% personalisation based on the students skills and developments.
You can download the app in the Google Play Store and in the Apple App Store.
That's right! Enjoy free access to study content, connect with fellow students, and get instant help – all at your fingertips.
App Store
Google Play
The app is very easy to use and well designed. I have found everything I was looking for so far and have been able to learn a lot from the presentations! I will definitely use the app for a class assignment! And of course it also helps a lot as an inspiration.
Stefan S
iOS user
This app is really great. There are so many study notes and help [...]. My problem subject is French, for example, and the app has so many options for help. Thanks to this app, I have improved my French. I would recommend it to anyone.
Samantha Klich
Android user
Wow, I am really amazed. I just tried the app because I've seen it advertised many times and was absolutely stunned. This app is THE HELP you want for school and above all, it offers so many things, such as workouts and fact sheets, which have been VERY helpful to me personally.
Anna
iOS user
I think it’s very much worth it and you’ll end up using it a lot once you get the hang of it and even after looking at others notes you can still ask your Artificial intelligence buddy the question and ask to simplify it if you still don’t get it!!! In the end I think it’s worth it 😊👍 ⚠️Also DID I MENTION ITS FREEE YOU DON’T HAVE TO PAY FOR ANYTHING AND STILL GET YOUR GRADES IN PERFECTLY❗️❗️⚠️
Thomas R
iOS user
Knowunity is the BEST app I’ve used in a minute. This is not an ai review or anything this is genuinely coming from a 7th grade student (I know 2011 im young) but dude this app is a 10/10 i have maintained a 3.8 gpa and have plenty of time for gaming. I love it and my mom is just happy I got good grades
Brad T
Android user
Not only did it help me find the answer but it also showed me alternative ways to solve it. I was horrible in math and science but now I have an a in both subjects. Thanks for the help🤍🤍
David K
iOS user
The app's just great! All I have to do is enter the topic in the search bar and I get the response real fast. I don't have to watch 10 YouTube videos to understand something, so I'm saving my time. Highly recommended!
Sudenaz Ocak
Android user
In school I was really bad at maths but thanks to the app, I am doing better now. I am so grateful that you made the app.
Greenlight Bonnie
Android user
I found this app a couple years ago and it has only gotten better since then. I really love it because it can help with written questions and photo questions. Also, it can find study guides that other people have made as well as flashcard sets and practice tests. The free version is also amazing for students who might not be able to afford it. Would 100% recommend
Aubrey
iOS user
Best app if you're in Highschool or Junior high. I have been using this app for 2 school years and it's the best, it's good if you don't have anyone to help you with school work.😋🩷🎀
Marco B
iOS user
THE QUIZES AND FLASHCARDS ARE SO USEFUL AND I LOVE THE SCHOOLGPT. IT ALSO IS LITREALLY LIKE CHATGPT BUT SMARTER!! HELPED ME WITH MY MASCARA PROBLEMS TOO!! AS WELL AS MY REAL SUBJECTS ! DUHHH 😍😁😲🤑💗✨🎀😮
Elisha
iOS user
This app is phenomenal down to the correct info and the various topics you can study! I greatly recommend it for people who struggle with procrastination and those who need homework help. It has been perfectly accurate for world 1 history as far as I’ve seen! Geometry too!
Paul T
iOS user
The app is very easy to use and well designed. I have found everything I was looking for so far and have been able to learn a lot from the presentations! I will definitely use the app for a class assignment! And of course it also helps a lot as an inspiration.
Stefan S
iOS user
This app is really great. There are so many study notes and help [...]. My problem subject is French, for example, and the app has so many options for help. Thanks to this app, I have improved my French. I would recommend it to anyone.
Samantha Klich
Android user
Wow, I am really amazed. I just tried the app because I've seen it advertised many times and was absolutely stunned. This app is THE HELP you want for school and above all, it offers so many things, such as workouts and fact sheets, which have been VERY helpful to me personally.
Anna
iOS user
I think it’s very much worth it and you’ll end up using it a lot once you get the hang of it and even after looking at others notes you can still ask your Artificial intelligence buddy the question and ask to simplify it if you still don’t get it!!! In the end I think it’s worth it 😊👍 ⚠️Also DID I MENTION ITS FREEE YOU DON’T HAVE TO PAY FOR ANYTHING AND STILL GET YOUR GRADES IN PERFECTLY❗️❗️⚠️
Thomas R
iOS user
Knowunity is the BEST app I’ve used in a minute. This is not an ai review or anything this is genuinely coming from a 7th grade student (I know 2011 im young) but dude this app is a 10/10 i have maintained a 3.8 gpa and have plenty of time for gaming. I love it and my mom is just happy I got good grades
Brad T
Android user
Not only did it help me find the answer but it also showed me alternative ways to solve it. I was horrible in math and science but now I have an a in both subjects. Thanks for the help🤍🤍
David K
iOS user
The app's just great! All I have to do is enter the topic in the search bar and I get the response real fast. I don't have to watch 10 YouTube videos to understand something, so I'm saving my time. Highly recommended!
Sudenaz Ocak
Android user
In school I was really bad at maths but thanks to the app, I am doing better now. I am so grateful that you made the app.
Greenlight Bonnie
Android user
I found this app a couple years ago and it has only gotten better since then. I really love it because it can help with written questions and photo questions. Also, it can find study guides that other people have made as well as flashcard sets and practice tests. The free version is also amazing for students who might not be able to afford it. Would 100% recommend
Aubrey
iOS user
Best app if you're in Highschool or Junior high. I have been using this app for 2 school years and it's the best, it's good if you don't have anyone to help you with school work.😋🩷🎀
Marco B
iOS user
THE QUIZES AND FLASHCARDS ARE SO USEFUL AND I LOVE THE SCHOOLGPT. IT ALSO IS LITREALLY LIKE CHATGPT BUT SMARTER!! HELPED ME WITH MY MASCARA PROBLEMS TOO!! AS WELL AS MY REAL SUBJECTS ! DUHHH 😍😁😲🤑💗✨🎀😮
Elisha
iOS user
This app is phenomenal down to the correct info and the various topics you can study! I greatly recommend it for people who struggle with procrastination and those who need homework help. It has been perfectly accurate for world 1 history as far as I’ve seen! Geometry too!
Paul T
iOS user
Trevor
@trevk
Solving systems of equations is like finding where two paths cross on a map. In this guide, you'll learn three powerful methods to find where equations intersect: graphing, substitution, and elimination. Each method has its advantages, and knowing when to... Show more

Access to all documents
Improve your grades
Join milions of students
By signing up you accept Terms of Service and Privacy Policy
When you solve systems of equations, you'll encounter three possible scenarios:
Consistent and independent systems have exactly one solution where the lines intersect. This happens when the lines have different slopes and cross at a single point.
Consistent and dependent systems have infinitely many solutions. This occurs when the equations actually represent the same line - they have the same slope and y-intercept.
Inconsistent systems have no solutions. This happens with parallel lines that never intersect.
💡 Think of it like this: two different lines will either cross at one point (one solution), be the exact same line (infinite solutions), or never meet because they're parallel (no solution).
When graphing these systems, you can easily visualize which type you're dealing with by seeing how the lines relate to each other. This visual approach helps you understand what's happening with the algebraic solution.

Access to all documents
Improve your grades
Join milions of students
By signing up you accept Terms of Service and Privacy Policy
The graphing method lets you visually find the point where two lines intersect. This intersection point represents the solution to the system - it's the only point that satisfies both equations simultaneously.
To solve by graphing:
Using a graphing calculator makes this process much easier:
🔍 When graphing by hand, make sure your coordinate plane is properly scaled so you can see the intersection clearly!
Graphing works well when the solution has nice, round numbers. However, if the solution involves fractions or decimals, you might want to use algebraic methods like substitution or elimination for more precision.

Access to all documents
Improve your grades
Join milions of students
By signing up you accept Terms of Service and Privacy Policy
The substitution method is perfect when one variable can be easily isolated in one of your equations. It's like solving a puzzle by replacing one piece with another.
Here's how substitution works:
For example, with the system:
2x + y = -9
4x + y = 11
You can solve for y in the first equation to get y = -2x - 9, then substitute this into the second equation:
4x + (-2x - 9) = 11
2x - 9 = 11
2x = 20
x = 10
Then find y by plugging x = 10 back: y = -2(10) - 9 = -29
⚠️ Always use parentheses when substituting expressions to avoid sign errors!
Substitution is especially efficient when one equation already has a variable isolated or when a variable has a coefficient of 1, making it easy to solve for.

Access to all documents
Improve your grades
Join milions of students
By signing up you accept Terms of Service and Privacy Policy
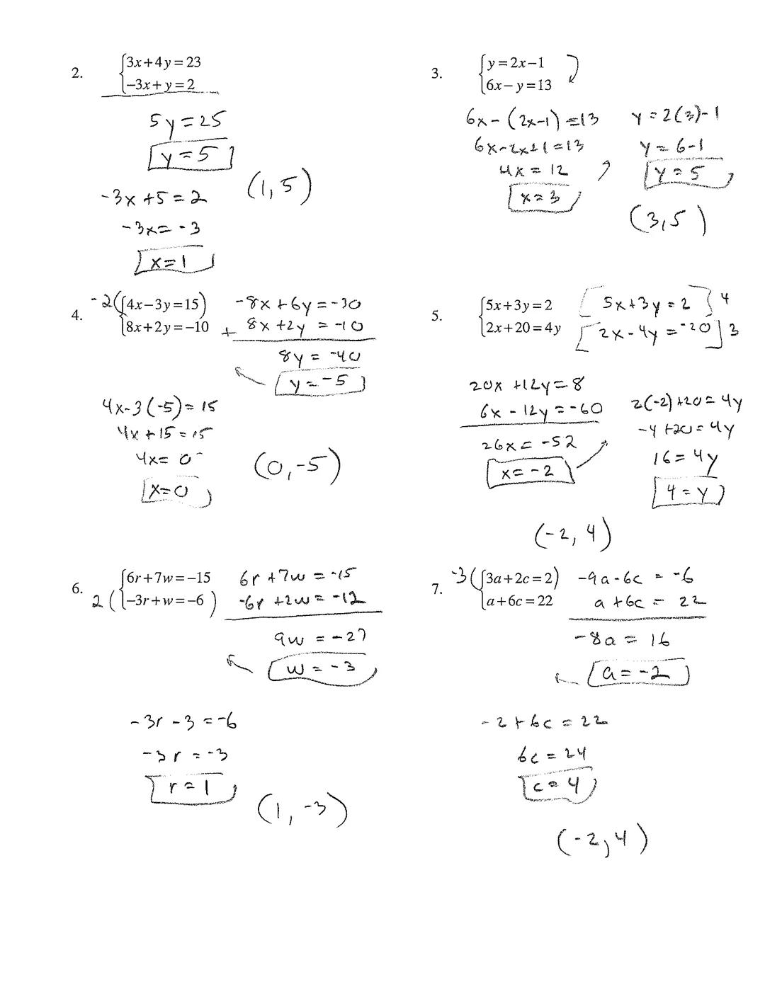
The elimination method works like magic when you want to make one variable disappear! This method is ideal when equations are in standard form .
With elimination, you:
For example, to solve:
3y + 2x = 16
5x - 3y = 12
The y-terms are already opposites , so adding eliminates y:
3y + 2x = 16
5x - 3y = 12
-----------
7x = 28
x = 4
Then substitute x = 4 back:
3y + 2(4) = 16
3y + 8 = 16
3y = 8
y = 8/3
🌟 Elimination is often faster than substitution when both equations are in standard form and when the coefficients are simple multiples of each other.
Elimination shines when the coefficients make it easy to create opposites through multiplication. Always look for the variable that's easiest to eliminate!

Access to all documents
Improve your grades
Join milions of students
By signing up you accept Terms of Service and Privacy Policy
Elimination becomes second nature with practice. Let's look at common patterns:
When coefficients are already opposites , you can add immediately to eliminate that variable. If not, multiply one or both equations to create opposites.
For example, in this system:
5x + 3y = 2
2x + 20 = 4y
First rewrite the second equation: 2x - 4y = -20 Multiply the first equation by 4: 20x + 12y = 8 Multiply the second equation by 3: 6x - 12y = -60 Add: 26x = -52, so x = -2
Then find y by substituting back.
Sometimes substitution is more efficient. With this system:
y = 2x - 1
6x - y = 13
It's easier to substitute y = 2x - 1 into the second equation right away.
💡 Strategy tip: When one equation has a variable isolated , substitution is usually faster than elimination!
Always organize your work neatly, line up like terms, and check your solution by plugging it back into both original equations.

Access to all documents
Improve your grades
Join milions of students
By signing up you accept Terms of Service and Privacy Policy
Not all systems have exactly one solution. When using elimination, pay attention to what happens after you add the equations:
If all variables cancel and you get a false statement like 0 = 3, the system is inconsistent with no solution. This means the lines are parallel and never intersect.
If all variables cancel and you get a true statement like 0 = 0, the system is consistent and dependent with infinitely many solutions. This means both equations represent the same line.
When solving a system and both variables cancel out, don't panic! This is valuable information telling you about the relationship between the equations:
🔑 Key insight: When both variables disappear during elimination, you've discovered something important about the system itself, not a mistake in your work!
Being able to classify systems as inconsistent, dependent, or independent will help you understand the geometric relationship between the lines and prepare you for more advanced topics in algebra.
Our AI companion is specifically built for the needs of students. Based on the millions of content pieces we have on the platform we can provide truly meaningful and relevant answers to students. But its not only about answers, the companion is even more about guiding students through their daily learning challenges, with personalised study plans, quizzes or content pieces in the chat and 100% personalisation based on the students skills and developments.
You can download the app in the Google Play Store and in the Apple App Store.
That's right! Enjoy free access to study content, connect with fellow students, and get instant help – all at your fingertips.
0
Smart Tools NEW
Transform this note into: ✓ 50+ Practice Questions ✓ Interactive Flashcards ✓ Full Mock Exam ✓ Essay Outlines
Learn how to simplify radical expressions involving square roots, cube roots, and multiplication and division of radicals.
Learn about functions, relations, and their graphs, including domain, range, vertical line test, and one-to-one functions.
App Store
Google Play
The app is very easy to use and well designed. I have found everything I was looking for so far and have been able to learn a lot from the presentations! I will definitely use the app for a class assignment! And of course it also helps a lot as an inspiration.
Stefan S
iOS user
This app is really great. There are so many study notes and help [...]. My problem subject is French, for example, and the app has so many options for help. Thanks to this app, I have improved my French. I would recommend it to anyone.
Samantha Klich
Android user
Wow, I am really amazed. I just tried the app because I've seen it advertised many times and was absolutely stunned. This app is THE HELP you want for school and above all, it offers so many things, such as workouts and fact sheets, which have been VERY helpful to me personally.
Anna
iOS user
I think it’s very much worth it and you’ll end up using it a lot once you get the hang of it and even after looking at others notes you can still ask your Artificial intelligence buddy the question and ask to simplify it if you still don’t get it!!! In the end I think it’s worth it 😊👍 ⚠️Also DID I MENTION ITS FREEE YOU DON’T HAVE TO PAY FOR ANYTHING AND STILL GET YOUR GRADES IN PERFECTLY❗️❗️⚠️
Thomas R
iOS user
Knowunity is the BEST app I’ve used in a minute. This is not an ai review or anything this is genuinely coming from a 7th grade student (I know 2011 im young) but dude this app is a 10/10 i have maintained a 3.8 gpa and have plenty of time for gaming. I love it and my mom is just happy I got good grades
Brad T
Android user
Not only did it help me find the answer but it also showed me alternative ways to solve it. I was horrible in math and science but now I have an a in both subjects. Thanks for the help🤍🤍
David K
iOS user
The app's just great! All I have to do is enter the topic in the search bar and I get the response real fast. I don't have to watch 10 YouTube videos to understand something, so I'm saving my time. Highly recommended!
Sudenaz Ocak
Android user
In school I was really bad at maths but thanks to the app, I am doing better now. I am so grateful that you made the app.
Greenlight Bonnie
Android user
I found this app a couple years ago and it has only gotten better since then. I really love it because it can help with written questions and photo questions. Also, it can find study guides that other people have made as well as flashcard sets and practice tests. The free version is also amazing for students who might not be able to afford it. Would 100% recommend
Aubrey
iOS user
Best app if you're in Highschool or Junior high. I have been using this app for 2 school years and it's the best, it's good if you don't have anyone to help you with school work.😋🩷🎀
Marco B
iOS user
THE QUIZES AND FLASHCARDS ARE SO USEFUL AND I LOVE THE SCHOOLGPT. IT ALSO IS LITREALLY LIKE CHATGPT BUT SMARTER!! HELPED ME WITH MY MASCARA PROBLEMS TOO!! AS WELL AS MY REAL SUBJECTS ! DUHHH 😍😁😲🤑💗✨🎀😮
Elisha
iOS user
This app is phenomenal down to the correct info and the various topics you can study! I greatly recommend it for people who struggle with procrastination and those who need homework help. It has been perfectly accurate for world 1 history as far as I’ve seen! Geometry too!
Paul T
iOS user
The app is very easy to use and well designed. I have found everything I was looking for so far and have been able to learn a lot from the presentations! I will definitely use the app for a class assignment! And of course it also helps a lot as an inspiration.
Stefan S
iOS user
This app is really great. There are so many study notes and help [...]. My problem subject is French, for example, and the app has so many options for help. Thanks to this app, I have improved my French. I would recommend it to anyone.
Samantha Klich
Android user
Wow, I am really amazed. I just tried the app because I've seen it advertised many times and was absolutely stunned. This app is THE HELP you want for school and above all, it offers so many things, such as workouts and fact sheets, which have been VERY helpful to me personally.
Anna
iOS user
I think it’s very much worth it and you’ll end up using it a lot once you get the hang of it and even after looking at others notes you can still ask your Artificial intelligence buddy the question and ask to simplify it if you still don’t get it!!! In the end I think it’s worth it 😊👍 ⚠️Also DID I MENTION ITS FREEE YOU DON’T HAVE TO PAY FOR ANYTHING AND STILL GET YOUR GRADES IN PERFECTLY❗️❗️⚠️
Thomas R
iOS user
Knowunity is the BEST app I’ve used in a minute. This is not an ai review or anything this is genuinely coming from a 7th grade student (I know 2011 im young) but dude this app is a 10/10 i have maintained a 3.8 gpa and have plenty of time for gaming. I love it and my mom is just happy I got good grades
Brad T
Android user
Not only did it help me find the answer but it also showed me alternative ways to solve it. I was horrible in math and science but now I have an a in both subjects. Thanks for the help🤍🤍
David K
iOS user
The app's just great! All I have to do is enter the topic in the search bar and I get the response real fast. I don't have to watch 10 YouTube videos to understand something, so I'm saving my time. Highly recommended!
Sudenaz Ocak
Android user
In school I was really bad at maths but thanks to the app, I am doing better now. I am so grateful that you made the app.
Greenlight Bonnie
Android user
I found this app a couple years ago and it has only gotten better since then. I really love it because it can help with written questions and photo questions. Also, it can find study guides that other people have made as well as flashcard sets and practice tests. The free version is also amazing for students who might not be able to afford it. Would 100% recommend
Aubrey
iOS user
Best app if you're in Highschool or Junior high. I have been using this app for 2 school years and it's the best, it's good if you don't have anyone to help you with school work.😋🩷🎀
Marco B
iOS user
THE QUIZES AND FLASHCARDS ARE SO USEFUL AND I LOVE THE SCHOOLGPT. IT ALSO IS LITREALLY LIKE CHATGPT BUT SMARTER!! HELPED ME WITH MY MASCARA PROBLEMS TOO!! AS WELL AS MY REAL SUBJECTS ! DUHHH 😍😁😲🤑💗✨🎀😮
Elisha
iOS user
This app is phenomenal down to the correct info and the various topics you can study! I greatly recommend it for people who struggle with procrastination and those who need homework help. It has been perfectly accurate for world 1 history as far as I’ve seen! Geometry too!
Paul T
iOS user