Open the App

Subjects

Learn About Reversible Reactions and Dynamic Equilibrium: A Fun Physics and Maths Guide for GCSE

16

3

user profile picture

Safa

10/6/2025

Chemistry

Reversible reactions and dynamic equilibrium

909

Oct 6, 2025

56 pages

Learn About Reversible Reactions and Dynamic Equilibrium: A Fun Physics and Maths Guide for GCSE

Reversible reactions and dynamic equilibriumare fundamental concepts in chemistry... Show more

Page 1
Page 1
Page 1
Page 2
Page 2
Page 2
Page 3
Page 3
Page 3
Page 4
1 / 10

<p>Q1. <strong>Anhydrous Cobalt Chloride Reaction</strong></p>
<p>The word equation shows the reaction between anhydrous cobalt chloride an

Page 4 Summary: Historical Context and Applications

This page discusses the historical significance of chemical processes through the example of Humberstone mines.

Example: The closure of sodium nitrate mines due to the Haber process invention

Definition: Ammonium nitrate is produced by reacting ammonia with nitric acid

Highlight: The Haber process revolutionized fertilizer production

Quote: "Today the mines have closed and nobody lives in Humberstone."


<p>Q1. <strong>Anhydrous Cobalt Chloride Reaction</strong></p>
<p>The word equation shows the reaction between anhydrous cobalt chloride an

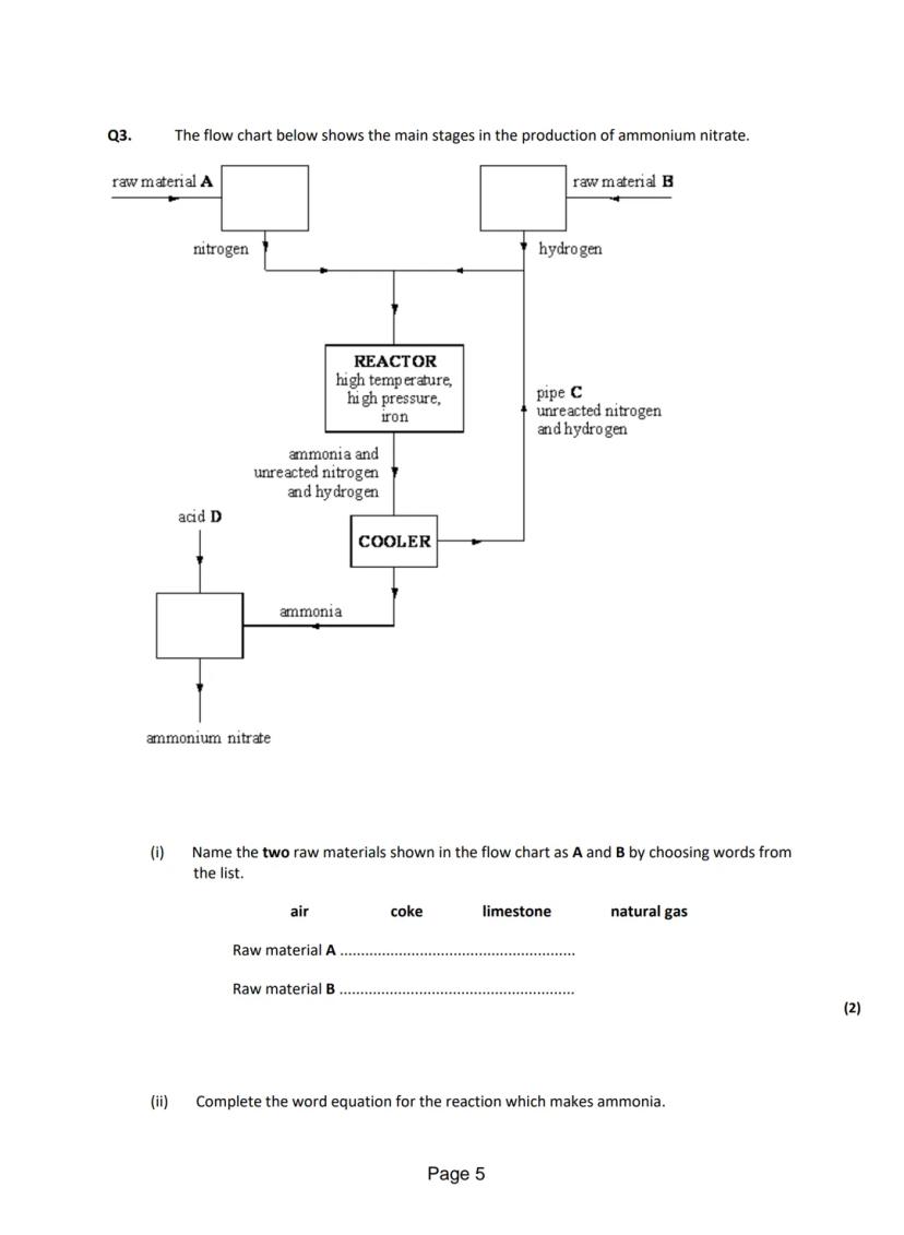
Industrial Chemical Processes and Equilibrium Conditions

The optimization of industrial chemical processes requires careful consideration of multiple factors affecting equilibrium conditions. In the Haber process, several key conditions must be maintained for efficient ammonia production.

Highlight: The Haber process conditions include:

  • Temperature: 450°C (compromise between kinetics and yield)
  • Pressure: 200 atmospheres (favors product formation)
  • Catalyst: Iron (reduces activation energy)
  • Continuous removal of product (shifts equilibrium forward)

The iron catalyst in the Haber process serves a crucial role by providing an alternative reaction pathway with lower activation energy, thereby increasing reaction rate without affecting the equilibrium position. This exemplifies how catalysts are essential in industrial processes while maintaining optimal temperature and pressure conditions.

Vocabulary: The catalyst used in Haber process for ammonia production is iron, which:

  • Doesn't affect equilibrium position
  • Speeds up reaction rate
  • Remains unchanged after reaction
  • Provides alternative reaction pathway

The separation of products in both ethanol production and the Haber process involves careful control of temperature and pressure conditions. In the Haber process, ammonia is separated from unreacted gases through condensation, while in ethanol production, a separator removes unreacted ethene for recycling.


<p>Q1. <strong>Anhydrous Cobalt Chloride Reaction</strong></p>
<p>The word equation shows the reaction between anhydrous cobalt chloride an

Understanding Reversible Reactions and Industrial Chemical Processes

In chemical reactions, particularly those involving reversible reactions and dynamic equilibrium, understanding the conditions and factors that affect product yield is crucial. The reaction between anhydrous cobalt chloride and water demonstrates key principles of reversible reactions, while industrial processes like ethanol production and the Haber process showcase practical applications.

Definition: Reversible reactions are chemical reactions that can proceed in both forward and backward directions, eventually reaching a state of dynamic equilibrium where the rates of forward and backward reactions are equal.

The production of ethanol through the reaction of ethene and steam represents an important industrial process. This reaction occurs at specific conditions - 300°C and 60 atmospheres pressure - with a catalyst to optimize yield. The reaction follows the equation: C₂H₄ gg + H₂O (g) ⇌ C₂H5OH (g)

Example: In industrial production of ethanol, temperature and pressure play crucial roles:

  • Higher temperatures decrease ethanol yield (Le Chatelier's Principle)
  • Higher pressures increase ethanol yield due to fewer gas molecules on product side

The Haber process represents another significant industrial application of reversible reactions. Operating at 450°C and 200 atmospheres pressure with an iron catalyst, this process produces ammonia from nitrogen and hydrogen gases. The reaction is exothermic and follows the equation: N₂gg + 3H₂(g) ⇌ 2NH₃(g)


<p>Q1. <strong>Anhydrous Cobalt Chloride Reaction</strong></p>
<p>The word equation shows the reaction between anhydrous cobalt chloride an

Page 1 Summary: Industrial Chemical Processes and Reactions

The page introduces three key chemical processes: cobalt chloride hydration, ethanol production, and the Haber process.

Example: The hydration reaction of anhydrous cobalt chloride (blue) to form hydrated cobalt chloride (pink)

Definition: An exothermic reaction is one that releases heat to the surroundings

Highlight: The industrial production of ethanol occurs at 300°C and 60 atmospheres pressure

Vocabulary: Anhydrous - a substance containing no water


<p>Q1. <strong>Anhydrous Cobalt Chloride Reaction</strong></p>
<p>The word equation shows the reaction between anhydrous cobalt chloride an

<p>Q1. <strong>Anhydrous Cobalt Chloride Reaction</strong></p>
<p>The word equation shows the reaction between anhydrous cobalt chloride an

<p>Q1. <strong>Anhydrous Cobalt Chloride Reaction</strong></p>
<p>The word equation shows the reaction between anhydrous cobalt chloride an

<p>Q1. <strong>Anhydrous Cobalt Chloride Reaction</strong></p>
<p>The word equation shows the reaction between anhydrous cobalt chloride an

<p>Q1. <strong>Anhydrous Cobalt Chloride Reaction</strong></p>
<p>The word equation shows the reaction between anhydrous cobalt chloride an

<p>Q1. <strong>Anhydrous Cobalt Chloride Reaction</strong></p>
<p>The word equation shows the reaction between anhydrous cobalt chloride an


We thought you’d never ask...

What is the Knowunity AI companion?

Our AI companion is specifically built for the needs of students. Based on the millions of content pieces we have on the platform we can provide truly meaningful and relevant answers to students. But its not only about answers, the companion is even more about guiding students through their daily learning challenges, with personalised study plans, quizzes or content pieces in the chat and 100% personalisation based on the students skills and developments.

Where can I download the Knowunity app?

You can download the app in the Google Play Store and in the Apple App Store.

Is Knowunity really free of charge?

That's right! Enjoy free access to study content, connect with fellow students, and get instant help – all at your fingertips.

Can't find what you're looking for? Explore other subjects.

Students love us — and so will you.

4.9/5

App Store

4.8/5

Google Play

The app is very easy to use and well designed. I have found everything I was looking for so far and have been able to learn a lot from the presentations! I will definitely use the app for a class assignment! And of course it also helps a lot as an inspiration.

Stefan S

iOS user

This app is really great. There are so many study notes and help [...]. My problem subject is French, for example, and the app has so many options for help. Thanks to this app, I have improved my French. I would recommend it to anyone.

Samantha Klich

Android user

Wow, I am really amazed. I just tried the app because I've seen it advertised many times and was absolutely stunned. This app is THE HELP you want for school and above all, it offers so many things, such as workouts and fact sheets, which have been VERY helpful to me personally.

Anna

iOS user

I think it’s very much worth it and you’ll end up using it a lot once you get the hang of it and even after looking at others notes you can still ask your Artificial intelligence buddy the question and ask to simplify it if you still don’t get it!!! In the end I think it’s worth it 😊👍 ⚠️Also DID I MENTION ITS FREEE YOU DON’T HAVE TO PAY FOR ANYTHING AND STILL GET YOUR GRADES IN PERFECTLY❗️❗️⚠️

Thomas R

iOS user

Knowunity is the BEST app I’ve used in a minute. This is not an ai review or anything this is genuinely coming from a 7th grade student (I know 2011 im young) but dude this app is a 10/10 i have maintained a 3.8 gpa and have plenty of time for gaming. I love it and my mom is just happy I got good grades

Brad T

Android user

Not only did it help me find the answer but it also showed me alternative ways to solve it. I was horrible in math and science but now I have an a in both subjects. Thanks for the help🤍🤍

David K

iOS user

The app's just great! All I have to do is enter the topic in the search bar and I get the response real fast. I don't have to watch 10 YouTube videos to understand something, so I'm saving my time. Highly recommended!

Sudenaz Ocak

Android user

In school I was really bad at maths but thanks to the app, I am doing better now. I am so grateful that you made the app.

Greenlight Bonnie

Android user

I found this app a couple years ago and it has only gotten better since then. I really love it because it can help with written questions and photo questions. Also, it can find study guides that other people have made as well as flashcard sets and practice tests. The free version is also amazing for students who might not be able to afford it. Would 100% recommend

Aubrey

iOS user

Best app if you're in Highschool or Junior high. I have been using this app for 2 school years and it's the best, it's good if you don't have anyone to help you with school work.😋🩷🎀

Marco B

iOS user

THE QUIZES AND FLASHCARDS ARE SO USEFUL AND I LOVE THE SCHOOLGPT. IT ALSO IS LITREALLY LIKE CHATGPT BUT SMARTER!! HELPED ME WITH MY MASCARA PROBLEMS TOO!! AS WELL AS MY REAL SUBJECTS ! DUHHH 😍😁😲🤑💗✨🎀😮

Elisha

iOS user

This app is phenomenal down to the correct info and the various topics you can study! I greatly recommend it for people who struggle with procrastination and those who need homework help. It has been perfectly accurate for world 1 history as far as I’ve seen! Geometry too!

Paul T

iOS user

The app is very easy to use and well designed. I have found everything I was looking for so far and have been able to learn a lot from the presentations! I will definitely use the app for a class assignment! And of course it also helps a lot as an inspiration.

Stefan S

iOS user

This app is really great. There are so many study notes and help [...]. My problem subject is French, for example, and the app has so many options for help. Thanks to this app, I have improved my French. I would recommend it to anyone.

Samantha Klich

Android user

Wow, I am really amazed. I just tried the app because I've seen it advertised many times and was absolutely stunned. This app is THE HELP you want for school and above all, it offers so many things, such as workouts and fact sheets, which have been VERY helpful to me personally.

Anna

iOS user

I think it’s very much worth it and you’ll end up using it a lot once you get the hang of it and even after looking at others notes you can still ask your Artificial intelligence buddy the question and ask to simplify it if you still don’t get it!!! In the end I think it’s worth it 😊👍 ⚠️Also DID I MENTION ITS FREEE YOU DON’T HAVE TO PAY FOR ANYTHING AND STILL GET YOUR GRADES IN PERFECTLY❗️❗️⚠️

Thomas R

iOS user

Knowunity is the BEST app I’ve used in a minute. This is not an ai review or anything this is genuinely coming from a 7th grade student (I know 2011 im young) but dude this app is a 10/10 i have maintained a 3.8 gpa and have plenty of time for gaming. I love it and my mom is just happy I got good grades

Brad T

Android user

Not only did it help me find the answer but it also showed me alternative ways to solve it. I was horrible in math and science but now I have an a in both subjects. Thanks for the help🤍🤍

David K

iOS user

The app's just great! All I have to do is enter the topic in the search bar and I get the response real fast. I don't have to watch 10 YouTube videos to understand something, so I'm saving my time. Highly recommended!

Sudenaz Ocak

Android user

In school I was really bad at maths but thanks to the app, I am doing better now. I am so grateful that you made the app.

Greenlight Bonnie

Android user

I found this app a couple years ago and it has only gotten better since then. I really love it because it can help with written questions and photo questions. Also, it can find study guides that other people have made as well as flashcard sets and practice tests. The free version is also amazing for students who might not be able to afford it. Would 100% recommend

Aubrey

iOS user

Best app if you're in Highschool or Junior high. I have been using this app for 2 school years and it's the best, it's good if you don't have anyone to help you with school work.😋🩷🎀

Marco B

iOS user

THE QUIZES AND FLASHCARDS ARE SO USEFUL AND I LOVE THE SCHOOLGPT. IT ALSO IS LITREALLY LIKE CHATGPT BUT SMARTER!! HELPED ME WITH MY MASCARA PROBLEMS TOO!! AS WELL AS MY REAL SUBJECTS ! DUHHH 😍😁😲🤑💗✨🎀😮

Elisha

iOS user

This app is phenomenal down to the correct info and the various topics you can study! I greatly recommend it for people who struggle with procrastination and those who need homework help. It has been perfectly accurate for world 1 history as far as I’ve seen! Geometry too!

Paul T

iOS user

 

Chemistry

909

Oct 6, 2025

56 pages

Learn About Reversible Reactions and Dynamic Equilibrium: A Fun Physics and Maths Guide for GCSE

Reversible reactions and dynamic equilibriumare fundamental concepts in chemistry that play a crucial role in industrial processes and natural systems. In a reversible reaction, products can convert back into reactants under specific conditions, indicated by double arrows (⇌) in... Show more


<p>Q1. <strong>Anhydrous Cobalt Chloride Reaction</strong></p>
<p>The word equation shows the reaction between anhydrous cobalt chloride an

Sign up to see the contentIt's free!

Access to all documents

Improve your grades

Join milions of students

By signing up you accept Terms of Service and Privacy Policy

Page 4 Summary: Historical Context and Applications

This page discusses the historical significance of chemical processes through the example of Humberstone mines.

Example: The closure of sodium nitrate mines due to the Haber process invention

Definition: Ammonium nitrate is produced by reacting ammonia with nitric acid

Highlight: The Haber process revolutionized fertilizer production

Quote: "Today the mines have closed and nobody lives in Humberstone."


<p>Q1. <strong>Anhydrous Cobalt Chloride Reaction</strong></p>
<p>The word equation shows the reaction between anhydrous cobalt chloride an

Sign up to see the contentIt's free!

Access to all documents

Improve your grades

Join milions of students

By signing up you accept Terms of Service and Privacy Policy

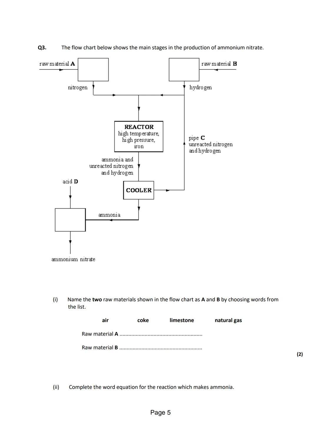
Industrial Chemical Processes and Equilibrium Conditions

The optimization of industrial chemical processes requires careful consideration of multiple factors affecting equilibrium conditions. In the Haber process, several key conditions must be maintained for efficient ammonia production.

Highlight: The Haber process conditions include:

  • Temperature: 450°C (compromise between kinetics and yield)
  • Pressure: 200 atmospheres (favors product formation)
  • Catalyst: Iron (reduces activation energy)
  • Continuous removal of product (shifts equilibrium forward)

The iron catalyst in the Haber process serves a crucial role by providing an alternative reaction pathway with lower activation energy, thereby increasing reaction rate without affecting the equilibrium position. This exemplifies how catalysts are essential in industrial processes while maintaining optimal temperature and pressure conditions.

Vocabulary: The catalyst used in Haber process for ammonia production is iron, which:

  • Doesn't affect equilibrium position
  • Speeds up reaction rate
  • Remains unchanged after reaction
  • Provides alternative reaction pathway

The separation of products in both ethanol production and the Haber process involves careful control of temperature and pressure conditions. In the Haber process, ammonia is separated from unreacted gases through condensation, while in ethanol production, a separator removes unreacted ethene for recycling.


<p>Q1. <strong>Anhydrous Cobalt Chloride Reaction</strong></p>
<p>The word equation shows the reaction between anhydrous cobalt chloride an

Sign up to see the contentIt's free!

Access to all documents

Improve your grades

Join milions of students

By signing up you accept Terms of Service and Privacy Policy

Understanding Reversible Reactions and Industrial Chemical Processes

In chemical reactions, particularly those involving reversible reactions and dynamic equilibrium, understanding the conditions and factors that affect product yield is crucial. The reaction between anhydrous cobalt chloride and water demonstrates key principles of reversible reactions, while industrial processes like ethanol production and the Haber process showcase practical applications.

Definition: Reversible reactions are chemical reactions that can proceed in both forward and backward directions, eventually reaching a state of dynamic equilibrium where the rates of forward and backward reactions are equal.

The production of ethanol through the reaction of ethene and steam represents an important industrial process. This reaction occurs at specific conditions - 300°C and 60 atmospheres pressure - with a catalyst to optimize yield. The reaction follows the equation: C₂H₄ gg + H₂O (g) ⇌ C₂H5OH (g)

Example: In industrial production of ethanol, temperature and pressure play crucial roles:

  • Higher temperatures decrease ethanol yield (Le Chatelier's Principle)
  • Higher pressures increase ethanol yield due to fewer gas molecules on product side

The Haber process represents another significant industrial application of reversible reactions. Operating at 450°C and 200 atmospheres pressure with an iron catalyst, this process produces ammonia from nitrogen and hydrogen gases. The reaction is exothermic and follows the equation: N₂gg + 3H₂(g) ⇌ 2NH₃(g)


<p>Q1. <strong>Anhydrous Cobalt Chloride Reaction</strong></p>
<p>The word equation shows the reaction between anhydrous cobalt chloride an

Sign up to see the contentIt's free!

Access to all documents

Improve your grades

Join milions of students

By signing up you accept Terms of Service and Privacy Policy

Page 1 Summary: Industrial Chemical Processes and Reactions

The page introduces three key chemical processes: cobalt chloride hydration, ethanol production, and the Haber process.

Example: The hydration reaction of anhydrous cobalt chloride (blue) to form hydrated cobalt chloride (pink)

Definition: An exothermic reaction is one that releases heat to the surroundings

Highlight: The industrial production of ethanol occurs at 300°C and 60 atmospheres pressure

Vocabulary: Anhydrous - a substance containing no water


<p>Q1. <strong>Anhydrous Cobalt Chloride Reaction</strong></p>
<p>The word equation shows the reaction between anhydrous cobalt chloride an

Sign up to see the contentIt's free!

Access to all documents

Improve your grades

Join milions of students

By signing up you accept Terms of Service and Privacy Policy


<p>Q1. <strong>Anhydrous Cobalt Chloride Reaction</strong></p>
<p>The word equation shows the reaction between anhydrous cobalt chloride an

Sign up to see the contentIt's free!

Access to all documents

Improve your grades

Join milions of students

By signing up you accept Terms of Service and Privacy Policy


<p>Q1. <strong>Anhydrous Cobalt Chloride Reaction</strong></p>
<p>The word equation shows the reaction between anhydrous cobalt chloride an

Sign up to see the contentIt's free!

Access to all documents

Improve your grades

Join milions of students

By signing up you accept Terms of Service and Privacy Policy


<p>Q1. <strong>Anhydrous Cobalt Chloride Reaction</strong></p>
<p>The word equation shows the reaction between anhydrous cobalt chloride an

Sign up to see the contentIt's free!

Access to all documents

Improve your grades

Join milions of students

By signing up you accept Terms of Service and Privacy Policy


<p>Q1. <strong>Anhydrous Cobalt Chloride Reaction</strong></p>
<p>The word equation shows the reaction between anhydrous cobalt chloride an

Sign up to see the contentIt's free!

Access to all documents

Improve your grades

Join milions of students

By signing up you accept Terms of Service and Privacy Policy


<p>Q1. <strong>Anhydrous Cobalt Chloride Reaction</strong></p>
<p>The word equation shows the reaction between anhydrous cobalt chloride an

Sign up to see the contentIt's free!

Access to all documents

Improve your grades

Join milions of students

By signing up you accept Terms of Service and Privacy Policy

We thought you’d never ask...

What is the Knowunity AI companion?

Our AI companion is specifically built for the needs of students. Based on the millions of content pieces we have on the platform we can provide truly meaningful and relevant answers to students. But its not only about answers, the companion is even more about guiding students through their daily learning challenges, with personalised study plans, quizzes or content pieces in the chat and 100% personalisation based on the students skills and developments.

Where can I download the Knowunity app?

You can download the app in the Google Play Store and in the Apple App Store.

Is Knowunity really free of charge?

That's right! Enjoy free access to study content, connect with fellow students, and get instant help – all at your fingertips.

16

Smart Tools NEW

Transform this note into: ✓ 50+ Practice Questions ✓ Interactive Flashcards ✓ Full Mock Exam ✓ Essay Outlines

Mock Exam
Quiz
Flashcards
Essay

Can't find what you're looking for? Explore other subjects.

Students love us — and so will you.

4.9/5

App Store

4.8/5

Google Play

The app is very easy to use and well designed. I have found everything I was looking for so far and have been able to learn a lot from the presentations! I will definitely use the app for a class assignment! And of course it also helps a lot as an inspiration.

Stefan S

iOS user

This app is really great. There are so many study notes and help [...]. My problem subject is French, for example, and the app has so many options for help. Thanks to this app, I have improved my French. I would recommend it to anyone.

Samantha Klich

Android user

Wow, I am really amazed. I just tried the app because I've seen it advertised many times and was absolutely stunned. This app is THE HELP you want for school and above all, it offers so many things, such as workouts and fact sheets, which have been VERY helpful to me personally.

Anna

iOS user

I think it’s very much worth it and you’ll end up using it a lot once you get the hang of it and even after looking at others notes you can still ask your Artificial intelligence buddy the question and ask to simplify it if you still don’t get it!!! In the end I think it’s worth it 😊👍 ⚠️Also DID I MENTION ITS FREEE YOU DON’T HAVE TO PAY FOR ANYTHING AND STILL GET YOUR GRADES IN PERFECTLY❗️❗️⚠️

Thomas R

iOS user

Knowunity is the BEST app I’ve used in a minute. This is not an ai review or anything this is genuinely coming from a 7th grade student (I know 2011 im young) but dude this app is a 10/10 i have maintained a 3.8 gpa and have plenty of time for gaming. I love it and my mom is just happy I got good grades

Brad T

Android user

Not only did it help me find the answer but it also showed me alternative ways to solve it. I was horrible in math and science but now I have an a in both subjects. Thanks for the help🤍🤍

David K

iOS user

The app's just great! All I have to do is enter the topic in the search bar and I get the response real fast. I don't have to watch 10 YouTube videos to understand something, so I'm saving my time. Highly recommended!

Sudenaz Ocak

Android user

In school I was really bad at maths but thanks to the app, I am doing better now. I am so grateful that you made the app.

Greenlight Bonnie

Android user

I found this app a couple years ago and it has only gotten better since then. I really love it because it can help with written questions and photo questions. Also, it can find study guides that other people have made as well as flashcard sets and practice tests. The free version is also amazing for students who might not be able to afford it. Would 100% recommend

Aubrey

iOS user

Best app if you're in Highschool or Junior high. I have been using this app for 2 school years and it's the best, it's good if you don't have anyone to help you with school work.😋🩷🎀

Marco B

iOS user

THE QUIZES AND FLASHCARDS ARE SO USEFUL AND I LOVE THE SCHOOLGPT. IT ALSO IS LITREALLY LIKE CHATGPT BUT SMARTER!! HELPED ME WITH MY MASCARA PROBLEMS TOO!! AS WELL AS MY REAL SUBJECTS ! DUHHH 😍😁😲🤑💗✨🎀😮

Elisha

iOS user

This app is phenomenal down to the correct info and the various topics you can study! I greatly recommend it for people who struggle with procrastination and those who need homework help. It has been perfectly accurate for world 1 history as far as I’ve seen! Geometry too!

Paul T

iOS user

The app is very easy to use and well designed. I have found everything I was looking for so far and have been able to learn a lot from the presentations! I will definitely use the app for a class assignment! And of course it also helps a lot as an inspiration.

Stefan S

iOS user

This app is really great. There are so many study notes and help [...]. My problem subject is French, for example, and the app has so many options for help. Thanks to this app, I have improved my French. I would recommend it to anyone.

Samantha Klich

Android user

Wow, I am really amazed. I just tried the app because I've seen it advertised many times and was absolutely stunned. This app is THE HELP you want for school and above all, it offers so many things, such as workouts and fact sheets, which have been VERY helpful to me personally.

Anna

iOS user

I think it’s very much worth it and you’ll end up using it a lot once you get the hang of it and even after looking at others notes you can still ask your Artificial intelligence buddy the question and ask to simplify it if you still don’t get it!!! In the end I think it’s worth it 😊👍 ⚠️Also DID I MENTION ITS FREEE YOU DON’T HAVE TO PAY FOR ANYTHING AND STILL GET YOUR GRADES IN PERFECTLY❗️❗️⚠️

Thomas R

iOS user

Knowunity is the BEST app I’ve used in a minute. This is not an ai review or anything this is genuinely coming from a 7th grade student (I know 2011 im young) but dude this app is a 10/10 i have maintained a 3.8 gpa and have plenty of time for gaming. I love it and my mom is just happy I got good grades

Brad T

Android user

Not only did it help me find the answer but it also showed me alternative ways to solve it. I was horrible in math and science but now I have an a in both subjects. Thanks for the help🤍🤍

David K

iOS user

The app's just great! All I have to do is enter the topic in the search bar and I get the response real fast. I don't have to watch 10 YouTube videos to understand something, so I'm saving my time. Highly recommended!

Sudenaz Ocak

Android user

In school I was really bad at maths but thanks to the app, I am doing better now. I am so grateful that you made the app.

Greenlight Bonnie

Android user

I found this app a couple years ago and it has only gotten better since then. I really love it because it can help with written questions and photo questions. Also, it can find study guides that other people have made as well as flashcard sets and practice tests. The free version is also amazing for students who might not be able to afford it. Would 100% recommend

Aubrey

iOS user

Best app if you're in Highschool or Junior high. I have been using this app for 2 school years and it's the best, it's good if you don't have anyone to help you with school work.😋🩷🎀

Marco B

iOS user

THE QUIZES AND FLASHCARDS ARE SO USEFUL AND I LOVE THE SCHOOLGPT. IT ALSO IS LITREALLY LIKE CHATGPT BUT SMARTER!! HELPED ME WITH MY MASCARA PROBLEMS TOO!! AS WELL AS MY REAL SUBJECTS ! DUHHH 😍😁😲🤑💗✨🎀😮

Elisha

iOS user

This app is phenomenal down to the correct info and the various topics you can study! I greatly recommend it for people who struggle with procrastination and those who need homework help. It has been perfectly accurate for world 1 history as far as I’ve seen! Geometry too!

Paul T

iOS user