Geometry is all about understanding how shapes, lines, and points... Show more
Sign up to see the contentIt's free!
Access to all documents
Improve your grades
Join milions of students
By signing up you accept Terms of Service and Privacy Policy
Subjects

0
0
aiah
12/12/2025
Geometry
5:1-5 Triangle Theorems
175
•
Dec 12, 2025
•
aiah
@axi4h
Geometry is all about understanding how shapes, lines, and points... Show more







Imagine a line that cuts a segment exactly in half and forms right angles with it - that's a perpendicular bisector. It's super useful in geometry because of two key theorems:
Theorem 5-1 states that if a point is on the perpendicular bisector of a segment, then it's equidistant (the same distance) from both endpoints of the segment. The reverse is also true in Theorem 5-2 - if a point is equidistant from both endpoints, it must be on the perpendicular bisector.
Angle bisectors work in a similar way. Theorem 5-3 tells us that if a point is on an angle bisector, it's equidistant from both sides of the angle. And according to Theorem 5-4, if a point is equidistant from the sides of an angle, it must be on the angle bisector.
💡 Think of perpendicular bisectors and angle bisectors as "fairness lines" - any point on them is equally distant from both parts they're separating!
To solve these problems, look for equal distances as clues about where points lie, or use the distance properties to find unknown values in equations.

Did you know triangles have special circles connected to them? A circumscribed circle passes through all three vertices of a triangle, while an inscribed circle touches each side of a triangle exactly once.
These circles have special centers. The circumcenter is where all three perpendicular bisectors of a triangle's sides meet. What makes this point amazing is that it's exactly the same distance from all three vertices - that's why it works as the center of the circumscribed circle!
The incenter is where all three angle bisectors meet. This point is equidistant from all three sides of the triangle, making it perfect as the center of the inscribed circle.
🔍 When lines or rays meet at a single point, we call them concurrent, and that meeting point is called a point of concurrency.
Remember that the radius is half of the diameter, which can help you solve problems. For example, if 2x-5 = x+1, then x = 6, making the radius 7 and the diameter 14.

Every triangle has special lines that tell us important things about its shape. An altitude is a perpendicular segment from a vertex to the opposite side, while a median connects a vertex to the midpoint of the opposite side.
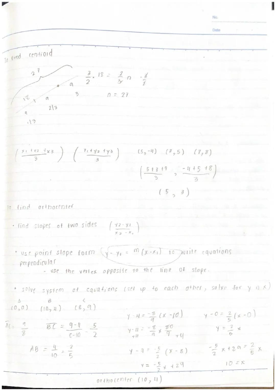
The centroid is where all three medians of a triangle meet. It divides each median in a special ratio - it's located two-thirds of the distance from any vertex to the midpoint of the opposite side. This means if you travel from a vertex along a median, you'll hit the centroid after going 2/3 of the way.
The orthocenter is where the lines containing the altitudes meet. What's interesting is that its position changes based on the triangle type:
⚡ The centroid actually serves as the triangle's center of gravity or balance point - if you made a triangle out of cardboard, it would balance perfectly on its centroid!
Remembering these locations will help you identify triangle types and solve problems involving these special points.

Finding the centroid of a triangle is pretty straightforward. If you know the coordinates of the three vertices, just calculate the average of the x-coordinates and the average of the y-coordinates. For vertices (5,-11), (3,5), and (7,8), the centroid is at (5,⅔).
Finding the orthocenter takes a bit more work. Here's how to do it:
First, find the slopes of two sides of the triangle using the formula /. Then find the slopes of the perpendicular lines - remember that perpendicular lines have slopes that are negative reciprocals of each other!
Next, write the equations of the altitude lines using point-slope form: y-y₁=m. Use the vertex opposite to each side as your point. Finally, solve the system of equations where these lines intersect to find the orthocenter.
🔑 A quick check: If you found an orthocenter that's inside your triangle, your triangle should be acute. If it's outside, your triangle is obtuse. And if it's exactly at a vertex, you've got a right triangle!
This process might seem complicated at first, but with practice, you'll get faster at finding these special points.

Triangles have some cool relationships between their sides and angles. Theorems 5-9 and 5-10 tell us that the shortest side of a triangle is always opposite the smallest angle. Similarly, the longest side is opposite the largest angle.
The Triangle Inequality Theorem (5-11) is super important - it states that the sum of the lengths of any two sides of a triangle must be greater than the length of the third side. This helps us determine if three lengths can actually form a triangle. For example, sides of 5, 8, and 11 work because:
You can also use this theorem to find the possible range for a third side. If you know two sides are 200m and 300m, then the third side must be between 100m and 500m because:
💡 Whenever you're given a problem about whether certain lengths can form a triangle, immediately check the Triangle Inequality Theorem - it's the quickest way to verify!
These inequalities help us understand what makes triangles work and why certain combinations of sides or angles are impossible.

When comparing triangles, the Hinge Theorem gives us powerful insights. If two triangles have two pairs of congruent sides, but one angle (the "hinge") is larger than the corresponding angle in the other triangle, then the third side in that triangle will be longer too.
Think of it like opening a door - as the angle gets wider, the distance between the ends increases. If triangles WXY and ABC have WX ≅ AB and WY ≅ AC, but angle W is greater than angle A, then XY must be greater than BC.
The converse is also true - if that third side is longer, then the angle must be larger too. This helps us compare triangles even when we don't have complete information about all sides and angles.
🌟 The Hinge Theorem might seem abstract, but it's actually something you experience in real life! When you open your arms wider (increasing the angle), the distance between your hands increases too.
These theorems let us write inequalities involving variables. For example, problems might ask you to find the range of possible values for x that satisfy certain conditions about sides or angles in triangles.
Our AI companion is specifically built for the needs of students. Based on the millions of content pieces we have on the platform we can provide truly meaningful and relevant answers to students. But its not only about answers, the companion is even more about guiding students through their daily learning challenges, with personalised study plans, quizzes or content pieces in the chat and 100% personalisation based on the students skills and developments.
You can download the app in the Google Play Store and in the Apple App Store.
That's right! Enjoy free access to study content, connect with fellow students, and get instant help – all at your fingertips.
App Store
Google Play
The app is very easy to use and well designed. I have found everything I was looking for so far and have been able to learn a lot from the presentations! I will definitely use the app for a class assignment! And of course it also helps a lot as an inspiration.
Stefan S
iOS user
This app is really great. There are so many study notes and help [...]. My problem subject is French, for example, and the app has so many options for help. Thanks to this app, I have improved my French. I would recommend it to anyone.
Samantha Klich
Android user
Wow, I am really amazed. I just tried the app because I've seen it advertised many times and was absolutely stunned. This app is THE HELP you want for school and above all, it offers so many things, such as workouts and fact sheets, which have been VERY helpful to me personally.
Anna
iOS user
I think it’s very much worth it and you’ll end up using it a lot once you get the hang of it and even after looking at others notes you can still ask your Artificial intelligence buddy the question and ask to simplify it if you still don’t get it!!! In the end I think it’s worth it 😊👍 ⚠️Also DID I MENTION ITS FREEE YOU DON’T HAVE TO PAY FOR ANYTHING AND STILL GET YOUR GRADES IN PERFECTLY❗️❗️⚠️
Thomas R
iOS user
Knowunity is the BEST app I’ve used in a minute. This is not an ai review or anything this is genuinely coming from a 7th grade student (I know 2011 im young) but dude this app is a 10/10 i have maintained a 3.8 gpa and have plenty of time for gaming. I love it and my mom is just happy I got good grades
Brad T
Android user
Not only did it help me find the answer but it also showed me alternative ways to solve it. I was horrible in math and science but now I have an a in both subjects. Thanks for the help🤍🤍
David K
iOS user
The app's just great! All I have to do is enter the topic in the search bar and I get the response real fast. I don't have to watch 10 YouTube videos to understand something, so I'm saving my time. Highly recommended!
Sudenaz Ocak
Android user
In school I was really bad at maths but thanks to the app, I am doing better now. I am so grateful that you made the app.
Greenlight Bonnie
Android user
I found this app a couple years ago and it has only gotten better since then. I really love it because it can help with written questions and photo questions. Also, it can find study guides that other people have made as well as flashcard sets and practice tests. The free version is also amazing for students who might not be able to afford it. Would 100% recommend
Aubrey
iOS user
Best app if you're in Highschool or Junior high. I have been using this app for 2 school years and it's the best, it's good if you don't have anyone to help you with school work.😋🩷🎀
Marco B
iOS user
THE QUIZES AND FLASHCARDS ARE SO USEFUL AND I LOVE THE SCHOOLGPT. IT ALSO IS LITREALLY LIKE CHATGPT BUT SMARTER!! HELPED ME WITH MY MASCARA PROBLEMS TOO!! AS WELL AS MY REAL SUBJECTS ! DUHHH 😍😁😲🤑💗✨🎀😮
Elisha
iOS user
This app is phenomenal down to the correct info and the various topics you can study! I greatly recommend it for people who struggle with procrastination and those who need homework help. It has been perfectly accurate for world 1 history as far as I’ve seen! Geometry too!
Paul T
iOS user
The app is very easy to use and well designed. I have found everything I was looking for so far and have been able to learn a lot from the presentations! I will definitely use the app for a class assignment! And of course it also helps a lot as an inspiration.
Stefan S
iOS user
This app is really great. There are so many study notes and help [...]. My problem subject is French, for example, and the app has so many options for help. Thanks to this app, I have improved my French. I would recommend it to anyone.
Samantha Klich
Android user
Wow, I am really amazed. I just tried the app because I've seen it advertised many times and was absolutely stunned. This app is THE HELP you want for school and above all, it offers so many things, such as workouts and fact sheets, which have been VERY helpful to me personally.
Anna
iOS user
I think it’s very much worth it and you’ll end up using it a lot once you get the hang of it and even after looking at others notes you can still ask your Artificial intelligence buddy the question and ask to simplify it if you still don’t get it!!! In the end I think it’s worth it 😊👍 ⚠️Also DID I MENTION ITS FREEE YOU DON’T HAVE TO PAY FOR ANYTHING AND STILL GET YOUR GRADES IN PERFECTLY❗️❗️⚠️
Thomas R
iOS user
Knowunity is the BEST app I’ve used in a minute. This is not an ai review or anything this is genuinely coming from a 7th grade student (I know 2011 im young) but dude this app is a 10/10 i have maintained a 3.8 gpa and have plenty of time for gaming. I love it and my mom is just happy I got good grades
Brad T
Android user
Not only did it help me find the answer but it also showed me alternative ways to solve it. I was horrible in math and science but now I have an a in both subjects. Thanks for the help🤍🤍
David K
iOS user
The app's just great! All I have to do is enter the topic in the search bar and I get the response real fast. I don't have to watch 10 YouTube videos to understand something, so I'm saving my time. Highly recommended!
Sudenaz Ocak
Android user
In school I was really bad at maths but thanks to the app, I am doing better now. I am so grateful that you made the app.
Greenlight Bonnie
Android user
I found this app a couple years ago and it has only gotten better since then. I really love it because it can help with written questions and photo questions. Also, it can find study guides that other people have made as well as flashcard sets and practice tests. The free version is also amazing for students who might not be able to afford it. Would 100% recommend
Aubrey
iOS user
Best app if you're in Highschool or Junior high. I have been using this app for 2 school years and it's the best, it's good if you don't have anyone to help you with school work.😋🩷🎀
Marco B
iOS user
THE QUIZES AND FLASHCARDS ARE SO USEFUL AND I LOVE THE SCHOOLGPT. IT ALSO IS LITREALLY LIKE CHATGPT BUT SMARTER!! HELPED ME WITH MY MASCARA PROBLEMS TOO!! AS WELL AS MY REAL SUBJECTS ! DUHHH 😍😁😲🤑💗✨🎀😮
Elisha
iOS user
This app is phenomenal down to the correct info and the various topics you can study! I greatly recommend it for people who struggle with procrastination and those who need homework help. It has been perfectly accurate for world 1 history as far as I’ve seen! Geometry too!
Paul T
iOS user
aiah
@axi4h
Geometry is all about understanding how shapes, lines, and points relate to each other. In these notes, we'll explore some important concepts about bisectors, centers of triangles, and geometric inequalities that will help you solve a variety of geometry problems.

Access to all documents
Improve your grades
Join milions of students
By signing up you accept Terms of Service and Privacy Policy
Imagine a line that cuts a segment exactly in half and forms right angles with it - that's a perpendicular bisector. It's super useful in geometry because of two key theorems:
Theorem 5-1 states that if a point is on the perpendicular bisector of a segment, then it's equidistant (the same distance) from both endpoints of the segment. The reverse is also true in Theorem 5-2 - if a point is equidistant from both endpoints, it must be on the perpendicular bisector.
Angle bisectors work in a similar way. Theorem 5-3 tells us that if a point is on an angle bisector, it's equidistant from both sides of the angle. And according to Theorem 5-4, if a point is equidistant from the sides of an angle, it must be on the angle bisector.
💡 Think of perpendicular bisectors and angle bisectors as "fairness lines" - any point on them is equally distant from both parts they're separating!
To solve these problems, look for equal distances as clues about where points lie, or use the distance properties to find unknown values in equations.

Access to all documents
Improve your grades
Join milions of students
By signing up you accept Terms of Service and Privacy Policy
Did you know triangles have special circles connected to them? A circumscribed circle passes through all three vertices of a triangle, while an inscribed circle touches each side of a triangle exactly once.
These circles have special centers. The circumcenter is where all three perpendicular bisectors of a triangle's sides meet. What makes this point amazing is that it's exactly the same distance from all three vertices - that's why it works as the center of the circumscribed circle!
The incenter is where all three angle bisectors meet. This point is equidistant from all three sides of the triangle, making it perfect as the center of the inscribed circle.
🔍 When lines or rays meet at a single point, we call them concurrent, and that meeting point is called a point of concurrency.
Remember that the radius is half of the diameter, which can help you solve problems. For example, if 2x-5 = x+1, then x = 6, making the radius 7 and the diameter 14.

Access to all documents
Improve your grades
Join milions of students
By signing up you accept Terms of Service and Privacy Policy
Every triangle has special lines that tell us important things about its shape. An altitude is a perpendicular segment from a vertex to the opposite side, while a median connects a vertex to the midpoint of the opposite side.
The centroid is where all three medians of a triangle meet. It divides each median in a special ratio - it's located two-thirds of the distance from any vertex to the midpoint of the opposite side. This means if you travel from a vertex along a median, you'll hit the centroid after going 2/3 of the way.
The orthocenter is where the lines containing the altitudes meet. What's interesting is that its position changes based on the triangle type:
⚡ The centroid actually serves as the triangle's center of gravity or balance point - if you made a triangle out of cardboard, it would balance perfectly on its centroid!
Remembering these locations will help you identify triangle types and solve problems involving these special points.

Access to all documents
Improve your grades
Join milions of students
By signing up you accept Terms of Service and Privacy Policy
Finding the centroid of a triangle is pretty straightforward. If you know the coordinates of the three vertices, just calculate the average of the x-coordinates and the average of the y-coordinates. For vertices (5,-11), (3,5), and (7,8), the centroid is at (5,⅔).
Finding the orthocenter takes a bit more work. Here's how to do it:
First, find the slopes of two sides of the triangle using the formula /. Then find the slopes of the perpendicular lines - remember that perpendicular lines have slopes that are negative reciprocals of each other!
Next, write the equations of the altitude lines using point-slope form: y-y₁=m. Use the vertex opposite to each side as your point. Finally, solve the system of equations where these lines intersect to find the orthocenter.
🔑 A quick check: If you found an orthocenter that's inside your triangle, your triangle should be acute. If it's outside, your triangle is obtuse. And if it's exactly at a vertex, you've got a right triangle!
This process might seem complicated at first, but with practice, you'll get faster at finding these special points.

Access to all documents
Improve your grades
Join milions of students
By signing up you accept Terms of Service and Privacy Policy
Triangles have some cool relationships between their sides and angles. Theorems 5-9 and 5-10 tell us that the shortest side of a triangle is always opposite the smallest angle. Similarly, the longest side is opposite the largest angle.
The Triangle Inequality Theorem (5-11) is super important - it states that the sum of the lengths of any two sides of a triangle must be greater than the length of the third side. This helps us determine if three lengths can actually form a triangle. For example, sides of 5, 8, and 11 work because:
You can also use this theorem to find the possible range for a third side. If you know two sides are 200m and 300m, then the third side must be between 100m and 500m because:
💡 Whenever you're given a problem about whether certain lengths can form a triangle, immediately check the Triangle Inequality Theorem - it's the quickest way to verify!
These inequalities help us understand what makes triangles work and why certain combinations of sides or angles are impossible.

Access to all documents
Improve your grades
Join milions of students
By signing up you accept Terms of Service and Privacy Policy
When comparing triangles, the Hinge Theorem gives us powerful insights. If two triangles have two pairs of congruent sides, but one angle (the "hinge") is larger than the corresponding angle in the other triangle, then the third side in that triangle will be longer too.
Think of it like opening a door - as the angle gets wider, the distance between the ends increases. If triangles WXY and ABC have WX ≅ AB and WY ≅ AC, but angle W is greater than angle A, then XY must be greater than BC.
The converse is also true - if that third side is longer, then the angle must be larger too. This helps us compare triangles even when we don't have complete information about all sides and angles.
🌟 The Hinge Theorem might seem abstract, but it's actually something you experience in real life! When you open your arms wider (increasing the angle), the distance between your hands increases too.
These theorems let us write inequalities involving variables. For example, problems might ask you to find the range of possible values for x that satisfy certain conditions about sides or angles in triangles.
Our AI companion is specifically built for the needs of students. Based on the millions of content pieces we have on the platform we can provide truly meaningful and relevant answers to students. But its not only about answers, the companion is even more about guiding students through their daily learning challenges, with personalised study plans, quizzes or content pieces in the chat and 100% personalisation based on the students skills and developments.
You can download the app in the Google Play Store and in the Apple App Store.
That's right! Enjoy free access to study content, connect with fellow students, and get instant help – all at your fingertips.
0
Smart Tools NEW
Transform this note into: ✓ 50+ Practice Questions ✓ Interactive Flashcards ✓ Full Mock Exam ✓ Essay Outlines
App Store
Google Play
The app is very easy to use and well designed. I have found everything I was looking for so far and have been able to learn a lot from the presentations! I will definitely use the app for a class assignment! And of course it also helps a lot as an inspiration.
Stefan S
iOS user
This app is really great. There are so many study notes and help [...]. My problem subject is French, for example, and the app has so many options for help. Thanks to this app, I have improved my French. I would recommend it to anyone.
Samantha Klich
Android user
Wow, I am really amazed. I just tried the app because I've seen it advertised many times and was absolutely stunned. This app is THE HELP you want for school and above all, it offers so many things, such as workouts and fact sheets, which have been VERY helpful to me personally.
Anna
iOS user
I think it’s very much worth it and you’ll end up using it a lot once you get the hang of it and even after looking at others notes you can still ask your Artificial intelligence buddy the question and ask to simplify it if you still don’t get it!!! In the end I think it’s worth it 😊👍 ⚠️Also DID I MENTION ITS FREEE YOU DON’T HAVE TO PAY FOR ANYTHING AND STILL GET YOUR GRADES IN PERFECTLY❗️❗️⚠️
Thomas R
iOS user
Knowunity is the BEST app I’ve used in a minute. This is not an ai review or anything this is genuinely coming from a 7th grade student (I know 2011 im young) but dude this app is a 10/10 i have maintained a 3.8 gpa and have plenty of time for gaming. I love it and my mom is just happy I got good grades
Brad T
Android user
Not only did it help me find the answer but it also showed me alternative ways to solve it. I was horrible in math and science but now I have an a in both subjects. Thanks for the help🤍🤍
David K
iOS user
The app's just great! All I have to do is enter the topic in the search bar and I get the response real fast. I don't have to watch 10 YouTube videos to understand something, so I'm saving my time. Highly recommended!
Sudenaz Ocak
Android user
In school I was really bad at maths but thanks to the app, I am doing better now. I am so grateful that you made the app.
Greenlight Bonnie
Android user
I found this app a couple years ago and it has only gotten better since then. I really love it because it can help with written questions and photo questions. Also, it can find study guides that other people have made as well as flashcard sets and practice tests. The free version is also amazing for students who might not be able to afford it. Would 100% recommend
Aubrey
iOS user
Best app if you're in Highschool or Junior high. I have been using this app for 2 school years and it's the best, it's good if you don't have anyone to help you with school work.😋🩷🎀
Marco B
iOS user
THE QUIZES AND FLASHCARDS ARE SO USEFUL AND I LOVE THE SCHOOLGPT. IT ALSO IS LITREALLY LIKE CHATGPT BUT SMARTER!! HELPED ME WITH MY MASCARA PROBLEMS TOO!! AS WELL AS MY REAL SUBJECTS ! DUHHH 😍😁😲🤑💗✨🎀😮
Elisha
iOS user
This app is phenomenal down to the correct info and the various topics you can study! I greatly recommend it for people who struggle with procrastination and those who need homework help. It has been perfectly accurate for world 1 history as far as I’ve seen! Geometry too!
Paul T
iOS user
The app is very easy to use and well designed. I have found everything I was looking for so far and have been able to learn a lot from the presentations! I will definitely use the app for a class assignment! And of course it also helps a lot as an inspiration.
Stefan S
iOS user
This app is really great. There are so many study notes and help [...]. My problem subject is French, for example, and the app has so many options for help. Thanks to this app, I have improved my French. I would recommend it to anyone.
Samantha Klich
Android user
Wow, I am really amazed. I just tried the app because I've seen it advertised many times and was absolutely stunned. This app is THE HELP you want for school and above all, it offers so many things, such as workouts and fact sheets, which have been VERY helpful to me personally.
Anna
iOS user
I think it’s very much worth it and you’ll end up using it a lot once you get the hang of it and even after looking at others notes you can still ask your Artificial intelligence buddy the question and ask to simplify it if you still don’t get it!!! In the end I think it’s worth it 😊👍 ⚠️Also DID I MENTION ITS FREEE YOU DON’T HAVE TO PAY FOR ANYTHING AND STILL GET YOUR GRADES IN PERFECTLY❗️❗️⚠️
Thomas R
iOS user
Knowunity is the BEST app I’ve used in a minute. This is not an ai review or anything this is genuinely coming from a 7th grade student (I know 2011 im young) but dude this app is a 10/10 i have maintained a 3.8 gpa and have plenty of time for gaming. I love it and my mom is just happy I got good grades
Brad T
Android user
Not only did it help me find the answer but it also showed me alternative ways to solve it. I was horrible in math and science but now I have an a in both subjects. Thanks for the help🤍🤍
David K
iOS user
The app's just great! All I have to do is enter the topic in the search bar and I get the response real fast. I don't have to watch 10 YouTube videos to understand something, so I'm saving my time. Highly recommended!
Sudenaz Ocak
Android user
In school I was really bad at maths but thanks to the app, I am doing better now. I am so grateful that you made the app.
Greenlight Bonnie
Android user
I found this app a couple years ago and it has only gotten better since then. I really love it because it can help with written questions and photo questions. Also, it can find study guides that other people have made as well as flashcard sets and practice tests. The free version is also amazing for students who might not be able to afford it. Would 100% recommend
Aubrey
iOS user
Best app if you're in Highschool or Junior high. I have been using this app for 2 school years and it's the best, it's good if you don't have anyone to help you with school work.😋🩷🎀
Marco B
iOS user
THE QUIZES AND FLASHCARDS ARE SO USEFUL AND I LOVE THE SCHOOLGPT. IT ALSO IS LITREALLY LIKE CHATGPT BUT SMARTER!! HELPED ME WITH MY MASCARA PROBLEMS TOO!! AS WELL AS MY REAL SUBJECTS ! DUHHH 😍😁😲🤑💗✨🎀😮
Elisha
iOS user
This app is phenomenal down to the correct info and the various topics you can study! I greatly recommend it for people who struggle with procrastination and those who need homework help. It has been perfectly accurate for world 1 history as far as I’ve seen! Geometry too!
Paul T
iOS user