Translationin mathematics refers to moving every point of a... Show more
Sign up to see the contentIt's free!
Access to all documents
Improve your grades
Join milions of students
By signing up you accept Terms of Service and Privacy Policy
Biological Bases of Behavior
Sensation and Perception
Research Methods in Psychology
Learning and Memory
Human Development
Personality
Consciousness
Abnormal Psychology
Ethical Issues in Psychology
Motivation and Emotion
Introduction to Psychology
Cognition and Intelligence
Social Psychology
Psychological Disorders in the Context of Culture
Show all topics

24
0
Avery Compton
11/20/2025
Geometry
Transformation graph
374
•
Nov 20, 2025
•
Avery Compton
@deadbeatsqaud_06
Translationin mathematics refers to moving every point of a... Show more











A translation in geometry involves moving every point of a figure the same distance and direction without changing its size or shape. When working with translation shapes examples, it's essential to understand how coordinates shift on a coordinate plane.
Definition: A translation is a transformation that slides a figure to a new position while maintaining its size and shape. The original figure and its image are always congruent.
In coordinate geometry, translations follow specific rules. The translation rule (x,y) shows how to move points on a coordinate plane. For example, if we translate a point 3 units right and 2 units up, we write the rule as (x,y) → .
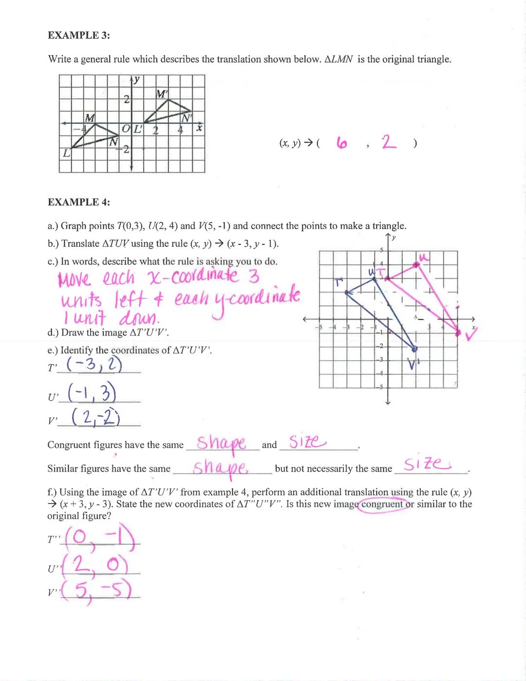
Example: Consider translating triangle ABC with coordinates A(1,-3), B(3,0), and C(4,-2) by moving it 1 unit right and 4 units up. The new coordinates would be A'(2,1), B'(4,4), and C'(5,2).
When performing translations in Math, remember that every vertex moves the same distance and direction. This maintains the figure's original shape and size, making the original and image congruent figures.

Understanding how to translate shapes by vectors requires mastering coordinate shifts. A vector represents both direction and distance of translation.
Vocabulary: A vector is written as T(a,b) where 'a' represents horizontal movement and 'b' represents vertical movement.
The translation rule formula can be written as:
Highlight: When translating figures, positive values move right/up, while negative values move left/down.
Working with translation of shapes in Maths involves systematic steps:

Translation of a figure geometry has numerous real-world applications. Understanding how to perform these transformations helps in:
Example: To translate triangle TUV with coordinates T(0,3), U(2,4), and V(5,-1) using the rule (x,y) → :
The translation rules algebra concepts connect directly to more advanced mathematical topics like vectors and functions.

When working with multiple translations or composite transformations, it's crucial to follow each step carefully. The 4 types of transformation in geometry include translations, reflections, rotations, and dilations.
Definition: Composite transformations occur when multiple transformations are applied sequentially to a figure.
For example, if we translate a figure twice:
Highlight: When solving translation problems, always verify that:

Translation of shapes in Maths involves precise movements of figures across a coordinate plane. When working with reflections, students must understand how figures are mirrored across various lines of reflection.
Definition: A reflection is a transformation that flips a figure across a line, creating a mirror image while preserving the figure's size and shape.
In working with reflections over the x-axis, the coordinates follow a specific pattern. For any point (x,y), its reflection over the x-axis becomes . This means the x-coordinate stays the same while the y-coordinate changes sign. This creates a perfect mirror image below the x-axis.
Example: When reflecting point A(1,3) over the x-axis, the image point A' becomes (1,-3). The distance from the point to the line of reflection equals the distance from the image to the line.
For y-axis reflections, the rule changes slightly. Points reflected over the y-axis follow the rule (x,y) → . The y-coordinate remains unchanged while the x-coordinate changes sign. This creates a mirror image on the opposite side of the y-axis.

When working with diagonal lines of reflection like y=x or y=-x, the Translation rules algebra become more complex. For a reflection over y=x, coordinates are swapped: (x,y) → (y,x).
Vocabulary: Line of reflection - The line across which a figure is reflected, acting as a mirror line for the transformation.
Students practicing How to translate shapes by vectors should understand that reflections preserve:
Highlight: All reflections create congruent images, meaning the original figure and its reflection have exactly the same size and shape.

Understanding Translation rule formula helps students work with multiple reflections. When combining reflections, the order of operations matters and can lead to different final positions.
Example: Reflecting a triangle first over the x-axis and then over the y-axis produces a different result than reflecting first over the y-axis and then over the x-axis.
The Translation shapes examples demonstrate how to:
Working with Translation of a figure geometry requires careful attention to:

How to do translations in Math extends beyond basic reflections to real-world applications. Architects and designers use reflective symmetry in their work, while computer graphics rely on transformation matrices.
Definition: A transformation rule is a mathematical statement that describes how to map every point of a figure to its image position.
When solving reflection problems, students should:
Highlight: Understanding Translation rule math 8th grade concepts builds foundation for advanced geometry and spatial reasoning skills.

Transformation in mathematics involves various operations that change the position or orientation of geometric figures. One crucial type of transformation is reflection, which creates mirror images of points and shapes across a line of reflection. When working with translations, reflections and rotations, understanding how coordinates change during reflection is essential for mastering geometric transformations.
In coordinate geometry, reflecting points across different lines follows specific rules. When reflecting across the line y = -x, the x and y coordinates swap places and change signs. For example, when point (3, -4) is reflected across y = -x, its image coordinates become (-4, 3). This transformation creates a mirror image that appears to flip diagonally across the line y = -x.
Definition: A reflection is a transformation that produces a mirror image of a geometric figure across a line of reflection. The line of reflection acts as an invisible mirror.
When reflecting shapes across the y-axis, the x-coordinates change sign while y-coordinates remain the same. For instance, point (-4, 7) reflected across the y-axis becomes (4, 7). Similarly, reflection across the x-axis keeps x-coordinates the same but changes the sign of y-coordinates. These rules are fundamental for understanding geometric transformations and translations.

Working with complex shapes like quadrilaterals requires careful attention to each vertex during reflection. When reflecting quadrilateral RECT with vertices at R(-6,-3), E(-5,1), C(-1,-3), and T(-1,1) across y = -x, each vertex must be transformed individually following the reflection rules. This process demonstrates how Translation shapes examples work in practice.
Example: When reflecting point P(-1, -8) across the y-axis:
Understanding these transformations is crucial for solving real-world problems involving symmetry and spatial relationships. The concepts of reflection apply to various fields, from architecture to computer graphics, making them essential components of 4 types of transformation in mathematics. Students should practice identifying reflection lines and determining coordinate changes to build strong geometric reasoning skills.
Highlight: Remember that the distance from any point to the line of reflection equals the distance from its image to the line of reflection. This property helps verify correct reflections.
Our AI companion is specifically built for the needs of students. Based on the millions of content pieces we have on the platform we can provide truly meaningful and relevant answers to students. But its not only about answers, the companion is even more about guiding students through their daily learning challenges, with personalised study plans, quizzes or content pieces in the chat and 100% personalisation based on the students skills and developments.
You can download the app in the Google Play Store and in the Apple App Store.
That's right! Enjoy free access to study content, connect with fellow students, and get instant help – all at your fingertips.
App Store
Google Play
The app is very easy to use and well designed. I have found everything I was looking for so far and have been able to learn a lot from the presentations! I will definitely use the app for a class assignment! And of course it also helps a lot as an inspiration.
Stefan S
iOS user
This app is really great. There are so many study notes and help [...]. My problem subject is French, for example, and the app has so many options for help. Thanks to this app, I have improved my French. I would recommend it to anyone.
Samantha Klich
Android user
Wow, I am really amazed. I just tried the app because I've seen it advertised many times and was absolutely stunned. This app is THE HELP you want for school and above all, it offers so many things, such as workouts and fact sheets, which have been VERY helpful to me personally.
Anna
iOS user
I think it’s very much worth it and you’ll end up using it a lot once you get the hang of it and even after looking at others notes you can still ask your Artificial intelligence buddy the question and ask to simplify it if you still don’t get it!!! In the end I think it’s worth it 😊👍 ⚠️Also DID I MENTION ITS FREEE YOU DON’T HAVE TO PAY FOR ANYTHING AND STILL GET YOUR GRADES IN PERFECTLY❗️❗️⚠️
Thomas R
iOS user
Knowunity is the BEST app I’ve used in a minute. This is not an ai review or anything this is genuinely coming from a 7th grade student (I know 2011 im young) but dude this app is a 10/10 i have maintained a 3.8 gpa and have plenty of time for gaming. I love it and my mom is just happy I got good grades
Brad T
Android user
Not only did it help me find the answer but it also showed me alternative ways to solve it. I was horrible in math and science but now I have an a in both subjects. Thanks for the help🤍🤍
David K
iOS user
The app's just great! All I have to do is enter the topic in the search bar and I get the response real fast. I don't have to watch 10 YouTube videos to understand something, so I'm saving my time. Highly recommended!
Sudenaz Ocak
Android user
In school I was really bad at maths but thanks to the app, I am doing better now. I am so grateful that you made the app.
Greenlight Bonnie
Android user
I found this app a couple years ago and it has only gotten better since then. I really love it because it can help with written questions and photo questions. Also, it can find study guides that other people have made as well as flashcard sets and practice tests. The free version is also amazing for students who might not be able to afford it. Would 100% recommend
Aubrey
iOS user
Best app if you're in Highschool or Junior high. I have been using this app for 2 school years and it's the best, it's good if you don't have anyone to help you with school work.😋🩷🎀
Marco B
iOS user
THE QUIZES AND FLASHCARDS ARE SO USEFUL AND I LOVE THE SCHOOLGPT. IT ALSO IS LITREALLY LIKE CHATGPT BUT SMARTER!! HELPED ME WITH MY MASCARA PROBLEMS TOO!! AS WELL AS MY REAL SUBJECTS ! DUHHH 😍😁😲🤑💗✨🎀😮
Elisha
iOS user
This app is phenomenal down to the correct info and the various topics you can study! I greatly recommend it for people who struggle with procrastination and those who need homework help. It has been perfectly accurate for world 1 history as far as I’ve seen! Geometry too!
Paul T
iOS user
The app is very easy to use and well designed. I have found everything I was looking for so far and have been able to learn a lot from the presentations! I will definitely use the app for a class assignment! And of course it also helps a lot as an inspiration.
Stefan S
iOS user
This app is really great. There are so many study notes and help [...]. My problem subject is French, for example, and the app has so many options for help. Thanks to this app, I have improved my French. I would recommend it to anyone.
Samantha Klich
Android user
Wow, I am really amazed. I just tried the app because I've seen it advertised many times and was absolutely stunned. This app is THE HELP you want for school and above all, it offers so many things, such as workouts and fact sheets, which have been VERY helpful to me personally.
Anna
iOS user
I think it’s very much worth it and you’ll end up using it a lot once you get the hang of it and even after looking at others notes you can still ask your Artificial intelligence buddy the question and ask to simplify it if you still don’t get it!!! In the end I think it’s worth it 😊👍 ⚠️Also DID I MENTION ITS FREEE YOU DON’T HAVE TO PAY FOR ANYTHING AND STILL GET YOUR GRADES IN PERFECTLY❗️❗️⚠️
Thomas R
iOS user
Knowunity is the BEST app I’ve used in a minute. This is not an ai review or anything this is genuinely coming from a 7th grade student (I know 2011 im young) but dude this app is a 10/10 i have maintained a 3.8 gpa and have plenty of time for gaming. I love it and my mom is just happy I got good grades
Brad T
Android user
Not only did it help me find the answer but it also showed me alternative ways to solve it. I was horrible in math and science but now I have an a in both subjects. Thanks for the help🤍🤍
David K
iOS user
The app's just great! All I have to do is enter the topic in the search bar and I get the response real fast. I don't have to watch 10 YouTube videos to understand something, so I'm saving my time. Highly recommended!
Sudenaz Ocak
Android user
In school I was really bad at maths but thanks to the app, I am doing better now. I am so grateful that you made the app.
Greenlight Bonnie
Android user
I found this app a couple years ago and it has only gotten better since then. I really love it because it can help with written questions and photo questions. Also, it can find study guides that other people have made as well as flashcard sets and practice tests. The free version is also amazing for students who might not be able to afford it. Would 100% recommend
Aubrey
iOS user
Best app if you're in Highschool or Junior high. I have been using this app for 2 school years and it's the best, it's good if you don't have anyone to help you with school work.😋🩷🎀
Marco B
iOS user
THE QUIZES AND FLASHCARDS ARE SO USEFUL AND I LOVE THE SCHOOLGPT. IT ALSO IS LITREALLY LIKE CHATGPT BUT SMARTER!! HELPED ME WITH MY MASCARA PROBLEMS TOO!! AS WELL AS MY REAL SUBJECTS ! DUHHH 😍😁😲🤑💗✨🎀😮
Elisha
iOS user
This app is phenomenal down to the correct info and the various topics you can study! I greatly recommend it for people who struggle with procrastination and those who need homework help. It has been perfectly accurate for world 1 history as far as I’ve seen! Geometry too!
Paul T
iOS user
Avery Compton
@deadbeatsqaud_06
Translation in mathematics refers to moving every point of a shape or figure the same distance and direction without changing its size or orientation.
A translation involves sliding a figure across a coordinate plane using specific rules. When performing a ... Show more

Access to all documents
Improve your grades
Join milions of students
By signing up you accept Terms of Service and Privacy Policy
A translation in geometry involves moving every point of a figure the same distance and direction without changing its size or shape. When working with translation shapes examples, it's essential to understand how coordinates shift on a coordinate plane.
Definition: A translation is a transformation that slides a figure to a new position while maintaining its size and shape. The original figure and its image are always congruent.
In coordinate geometry, translations follow specific rules. The translation rule (x,y) shows how to move points on a coordinate plane. For example, if we translate a point 3 units right and 2 units up, we write the rule as (x,y) → .
Example: Consider translating triangle ABC with coordinates A(1,-3), B(3,0), and C(4,-2) by moving it 1 unit right and 4 units up. The new coordinates would be A'(2,1), B'(4,4), and C'(5,2).
When performing translations in Math, remember that every vertex moves the same distance and direction. This maintains the figure's original shape and size, making the original and image congruent figures.

Access to all documents
Improve your grades
Join milions of students
By signing up you accept Terms of Service and Privacy Policy
Understanding how to translate shapes by vectors requires mastering coordinate shifts. A vector represents both direction and distance of translation.
Vocabulary: A vector is written as T(a,b) where 'a' represents horizontal movement and 'b' represents vertical movement.
The translation rule formula can be written as:
Highlight: When translating figures, positive values move right/up, while negative values move left/down.
Working with translation of shapes in Maths involves systematic steps:

Access to all documents
Improve your grades
Join milions of students
By signing up you accept Terms of Service and Privacy Policy
Translation of a figure geometry has numerous real-world applications. Understanding how to perform these transformations helps in:
Example: To translate triangle TUV with coordinates T(0,3), U(2,4), and V(5,-1) using the rule (x,y) → :
The translation rules algebra concepts connect directly to more advanced mathematical topics like vectors and functions.

Access to all documents
Improve your grades
Join milions of students
By signing up you accept Terms of Service and Privacy Policy
When working with multiple translations or composite transformations, it's crucial to follow each step carefully. The 4 types of transformation in geometry include translations, reflections, rotations, and dilations.
Definition: Composite transformations occur when multiple transformations are applied sequentially to a figure.
For example, if we translate a figure twice:
Highlight: When solving translation problems, always verify that:

Access to all documents
Improve your grades
Join milions of students
By signing up you accept Terms of Service and Privacy Policy
Translation of shapes in Maths involves precise movements of figures across a coordinate plane. When working with reflections, students must understand how figures are mirrored across various lines of reflection.
Definition: A reflection is a transformation that flips a figure across a line, creating a mirror image while preserving the figure's size and shape.
In working with reflections over the x-axis, the coordinates follow a specific pattern. For any point (x,y), its reflection over the x-axis becomes . This means the x-coordinate stays the same while the y-coordinate changes sign. This creates a perfect mirror image below the x-axis.
Example: When reflecting point A(1,3) over the x-axis, the image point A' becomes (1,-3). The distance from the point to the line of reflection equals the distance from the image to the line.
For y-axis reflections, the rule changes slightly. Points reflected over the y-axis follow the rule (x,y) → . The y-coordinate remains unchanged while the x-coordinate changes sign. This creates a mirror image on the opposite side of the y-axis.

Access to all documents
Improve your grades
Join milions of students
By signing up you accept Terms of Service and Privacy Policy
When working with diagonal lines of reflection like y=x or y=-x, the Translation rules algebra become more complex. For a reflection over y=x, coordinates are swapped: (x,y) → (y,x).
Vocabulary: Line of reflection - The line across which a figure is reflected, acting as a mirror line for the transformation.
Students practicing How to translate shapes by vectors should understand that reflections preserve:
Highlight: All reflections create congruent images, meaning the original figure and its reflection have exactly the same size and shape.

Access to all documents
Improve your grades
Join milions of students
By signing up you accept Terms of Service and Privacy Policy
Understanding Translation rule formula helps students work with multiple reflections. When combining reflections, the order of operations matters and can lead to different final positions.
Example: Reflecting a triangle first over the x-axis and then over the y-axis produces a different result than reflecting first over the y-axis and then over the x-axis.
The Translation shapes examples demonstrate how to:
Working with Translation of a figure geometry requires careful attention to:

Access to all documents
Improve your grades
Join milions of students
By signing up you accept Terms of Service and Privacy Policy
How to do translations in Math extends beyond basic reflections to real-world applications. Architects and designers use reflective symmetry in their work, while computer graphics rely on transformation matrices.
Definition: A transformation rule is a mathematical statement that describes how to map every point of a figure to its image position.
When solving reflection problems, students should:
Highlight: Understanding Translation rule math 8th grade concepts builds foundation for advanced geometry and spatial reasoning skills.

Access to all documents
Improve your grades
Join milions of students
By signing up you accept Terms of Service and Privacy Policy
Transformation in mathematics involves various operations that change the position or orientation of geometric figures. One crucial type of transformation is reflection, which creates mirror images of points and shapes across a line of reflection. When working with translations, reflections and rotations, understanding how coordinates change during reflection is essential for mastering geometric transformations.
In coordinate geometry, reflecting points across different lines follows specific rules. When reflecting across the line y = -x, the x and y coordinates swap places and change signs. For example, when point (3, -4) is reflected across y = -x, its image coordinates become (-4, 3). This transformation creates a mirror image that appears to flip diagonally across the line y = -x.
Definition: A reflection is a transformation that produces a mirror image of a geometric figure across a line of reflection. The line of reflection acts as an invisible mirror.
When reflecting shapes across the y-axis, the x-coordinates change sign while y-coordinates remain the same. For instance, point (-4, 7) reflected across the y-axis becomes (4, 7). Similarly, reflection across the x-axis keeps x-coordinates the same but changes the sign of y-coordinates. These rules are fundamental for understanding geometric transformations and translations.

Access to all documents
Improve your grades
Join milions of students
By signing up you accept Terms of Service and Privacy Policy
Working with complex shapes like quadrilaterals requires careful attention to each vertex during reflection. When reflecting quadrilateral RECT with vertices at R(-6,-3), E(-5,1), C(-1,-3), and T(-1,1) across y = -x, each vertex must be transformed individually following the reflection rules. This process demonstrates how Translation shapes examples work in practice.
Example: When reflecting point P(-1, -8) across the y-axis:
Understanding these transformations is crucial for solving real-world problems involving symmetry and spatial relationships. The concepts of reflection apply to various fields, from architecture to computer graphics, making them essential components of 4 types of transformation in mathematics. Students should practice identifying reflection lines and determining coordinate changes to build strong geometric reasoning skills.
Highlight: Remember that the distance from any point to the line of reflection equals the distance from its image to the line of reflection. This property helps verify correct reflections.
Our AI companion is specifically built for the needs of students. Based on the millions of content pieces we have on the platform we can provide truly meaningful and relevant answers to students. But its not only about answers, the companion is even more about guiding students through their daily learning challenges, with personalised study plans, quizzes or content pieces in the chat and 100% personalisation based on the students skills and developments.
You can download the app in the Google Play Store and in the Apple App Store.
That's right! Enjoy free access to study content, connect with fellow students, and get instant help – all at your fingertips.
24
Smart Tools NEW
Transform this note into: ✓ 50+ Practice Questions ✓ Interactive Flashcards ✓ Full Mock Exam ✓ Essay Outlines
U9L2 Reflections Notes
App Store
Google Play
The app is very easy to use and well designed. I have found everything I was looking for so far and have been able to learn a lot from the presentations! I will definitely use the app for a class assignment! And of course it also helps a lot as an inspiration.
Stefan S
iOS user
This app is really great. There are so many study notes and help [...]. My problem subject is French, for example, and the app has so many options for help. Thanks to this app, I have improved my French. I would recommend it to anyone.
Samantha Klich
Android user
Wow, I am really amazed. I just tried the app because I've seen it advertised many times and was absolutely stunned. This app is THE HELP you want for school and above all, it offers so many things, such as workouts and fact sheets, which have been VERY helpful to me personally.
Anna
iOS user
I think it’s very much worth it and you’ll end up using it a lot once you get the hang of it and even after looking at others notes you can still ask your Artificial intelligence buddy the question and ask to simplify it if you still don’t get it!!! In the end I think it’s worth it 😊👍 ⚠️Also DID I MENTION ITS FREEE YOU DON’T HAVE TO PAY FOR ANYTHING AND STILL GET YOUR GRADES IN PERFECTLY❗️❗️⚠️
Thomas R
iOS user
Knowunity is the BEST app I’ve used in a minute. This is not an ai review or anything this is genuinely coming from a 7th grade student (I know 2011 im young) but dude this app is a 10/10 i have maintained a 3.8 gpa and have plenty of time for gaming. I love it and my mom is just happy I got good grades
Brad T
Android user
Not only did it help me find the answer but it also showed me alternative ways to solve it. I was horrible in math and science but now I have an a in both subjects. Thanks for the help🤍🤍
David K
iOS user
The app's just great! All I have to do is enter the topic in the search bar and I get the response real fast. I don't have to watch 10 YouTube videos to understand something, so I'm saving my time. Highly recommended!
Sudenaz Ocak
Android user
In school I was really bad at maths but thanks to the app, I am doing better now. I am so grateful that you made the app.
Greenlight Bonnie
Android user
I found this app a couple years ago and it has only gotten better since then. I really love it because it can help with written questions and photo questions. Also, it can find study guides that other people have made as well as flashcard sets and practice tests. The free version is also amazing for students who might not be able to afford it. Would 100% recommend
Aubrey
iOS user
Best app if you're in Highschool or Junior high. I have been using this app for 2 school years and it's the best, it's good if you don't have anyone to help you with school work.😋🩷🎀
Marco B
iOS user
THE QUIZES AND FLASHCARDS ARE SO USEFUL AND I LOVE THE SCHOOLGPT. IT ALSO IS LITREALLY LIKE CHATGPT BUT SMARTER!! HELPED ME WITH MY MASCARA PROBLEMS TOO!! AS WELL AS MY REAL SUBJECTS ! DUHHH 😍😁😲🤑💗✨🎀😮
Elisha
iOS user
This app is phenomenal down to the correct info and the various topics you can study! I greatly recommend it for people who struggle with procrastination and those who need homework help. It has been perfectly accurate for world 1 history as far as I’ve seen! Geometry too!
Paul T
iOS user
The app is very easy to use and well designed. I have found everything I was looking for so far and have been able to learn a lot from the presentations! I will definitely use the app for a class assignment! And of course it also helps a lot as an inspiration.
Stefan S
iOS user
This app is really great. There are so many study notes and help [...]. My problem subject is French, for example, and the app has so many options for help. Thanks to this app, I have improved my French. I would recommend it to anyone.
Samantha Klich
Android user
Wow, I am really amazed. I just tried the app because I've seen it advertised many times and was absolutely stunned. This app is THE HELP you want for school and above all, it offers so many things, such as workouts and fact sheets, which have been VERY helpful to me personally.
Anna
iOS user
I think it’s very much worth it and you’ll end up using it a lot once you get the hang of it and even after looking at others notes you can still ask your Artificial intelligence buddy the question and ask to simplify it if you still don’t get it!!! In the end I think it’s worth it 😊👍 ⚠️Also DID I MENTION ITS FREEE YOU DON’T HAVE TO PAY FOR ANYTHING AND STILL GET YOUR GRADES IN PERFECTLY❗️❗️⚠️
Thomas R
iOS user
Knowunity is the BEST app I’ve used in a minute. This is not an ai review or anything this is genuinely coming from a 7th grade student (I know 2011 im young) but dude this app is a 10/10 i have maintained a 3.8 gpa and have plenty of time for gaming. I love it and my mom is just happy I got good grades
Brad T
Android user
Not only did it help me find the answer but it also showed me alternative ways to solve it. I was horrible in math and science but now I have an a in both subjects. Thanks for the help🤍🤍
David K
iOS user
The app's just great! All I have to do is enter the topic in the search bar and I get the response real fast. I don't have to watch 10 YouTube videos to understand something, so I'm saving my time. Highly recommended!
Sudenaz Ocak
Android user
In school I was really bad at maths but thanks to the app, I am doing better now. I am so grateful that you made the app.
Greenlight Bonnie
Android user
I found this app a couple years ago and it has only gotten better since then. I really love it because it can help with written questions and photo questions. Also, it can find study guides that other people have made as well as flashcard sets and practice tests. The free version is also amazing for students who might not be able to afford it. Would 100% recommend
Aubrey
iOS user
Best app if you're in Highschool or Junior high. I have been using this app for 2 school years and it's the best, it's good if you don't have anyone to help you with school work.😋🩷🎀
Marco B
iOS user
THE QUIZES AND FLASHCARDS ARE SO USEFUL AND I LOVE THE SCHOOLGPT. IT ALSO IS LITREALLY LIKE CHATGPT BUT SMARTER!! HELPED ME WITH MY MASCARA PROBLEMS TOO!! AS WELL AS MY REAL SUBJECTS ! DUHHH 😍😁😲🤑💗✨🎀😮
Elisha
iOS user
This app is phenomenal down to the correct info and the various topics you can study! I greatly recommend it for people who struggle with procrastination and those who need homework help. It has been perfectly accurate for world 1 history as far as I’ve seen! Geometry too!
Paul T
iOS user