Ever wondered how to solve equations that have x² in... Show more
Sign up to see the contentIt's free!
Access to all documents
Improve your grades
Join milions of students
By signing up you accept Terms of Service and Privacy Policy

82
0
Jona Mariz De Venecia
12/12/2025
Math
Math Grade 9 Notes 💗✨
5,109
•
Dec 12, 2025
•
Jona Mariz De Venecia
@jonadv
Ever wondered how to solve equations that have x² in... Show more











Think of a quadratic equation as a special type of math problem that always has an x² term. Unlike the linear equations you're used to, these have a curved relationship instead of a straight line.
Every quadratic equation follows the standard form: ax² + bx + c = 0, where a, b, and c are regular numbers, but a can never be zero (otherwise it wouldn't be quadratic anymore!). The quadratic term is the ax² part, the linear term is bx, and c is called the constant term.
💡 Remember: If there's no x² term, it's not a quadratic equation!
For example, in 2x² + 5x - 3 = 0, you have a = 2, b = 5, and c = -3. Sometimes you'll need to rearrange equations to get them in standard form first.

The easiest method works when your quadratic equation looks like x² = k (some number). This is called extracting square roots, and it's your fastest route to the answer.
Here's the key rule: if k is positive, you get two real solutions x = ±√k. If k equals zero, you get one real solution x = 0. If k is negative, there are no real solutions (the answers become imaginary).
Let's see this in action: x² = 16 becomes x = ±4, so your solutions are x = 4 and x = -4. Always check your answers by plugging them back into the original equation!
💡 Pro tip: Perfect squares like 1, 4, 9, 16, 25 make your calculations much easier.

Sometimes your equation isn't quite in the form x² = k, but you can still use extracting square roots. You might need to move terms around first or deal with expressions in parentheses.
For problems like ² = 25, take the square root of both sides to get x + 2 = ±5. Then solve two simple equations: x + 2 = 5 gives x = 3, and x + 2 = -5 gives x = -7.
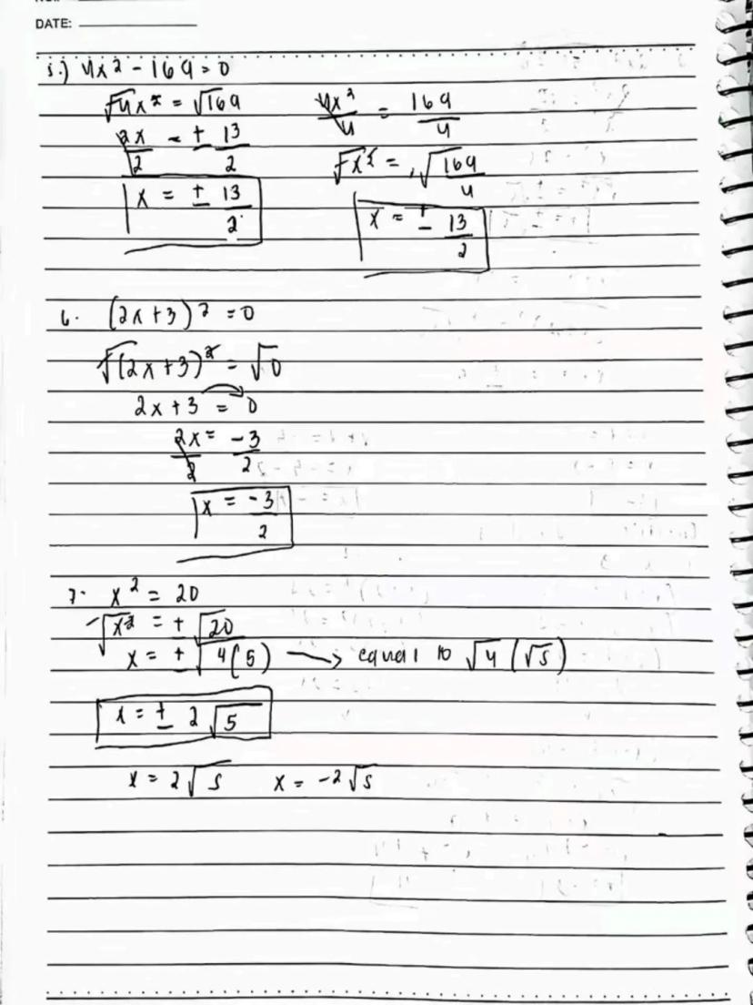
When you see coefficients like 4x² - 169 = 0, rearrange to get 4x² = 169, then x² = 169/4. Taking the square root gives you 2x = ±13, so x = ±13/2.
💡 Quick check: Always substitute your answers back into the original equation to make sure they work!

Factoring is like reverse multiplication - you're breaking down the quadratic into two simpler expressions that multiply together. This method works great when the quadratic can be written as a product of two binomials.
The magic happens with the Zero Product Property: if = 0, then either x + 4 = 0 or x + 3 = 0. This gives you x = -4 or x = -3 as your solutions.
To factor successfully, look for two numbers that multiply to give you the constant term and add up to the coefficient of the x term. For x² + 7x + 12 = 0, you need numbers that multiply to 12 and add to 7 - that's 4 and 3!
💡 Strategy: Start by getting your equation in standard form, then look for patterns like perfect squares or differences of squares.

Completing the square is your go-to method when factoring gets tricky. The idea is to transform your quadratic into a perfect square trinomial, which then becomes easy to solve.
A perfect square trinomial looks like ² and expands to x² + 2ax + a². The key insight is that the constant term is always half the coefficient of x, squared.
For example, x² + 4x becomes a perfect square when you add 4 , giving you x² + 4x + 4 = ². This method works for any quadratic equation, making it super reliable.
💡 Memory trick: Take half of the middle coefficient, square it, and add it to both sides of your equation.





Our AI companion is specifically built for the needs of students. Based on the millions of content pieces we have on the platform we can provide truly meaningful and relevant answers to students. But its not only about answers, the companion is even more about guiding students through their daily learning challenges, with personalised study plans, quizzes or content pieces in the chat and 100% personalisation based on the students skills and developments.
You can download the app in the Google Play Store and in the Apple App Store.
That's right! Enjoy free access to study content, connect with fellow students, and get instant help – all at your fingertips.
App Store
Google Play
The app is very easy to use and well designed. I have found everything I was looking for so far and have been able to learn a lot from the presentations! I will definitely use the app for a class assignment! And of course it also helps a lot as an inspiration.
Stefan S
iOS user
This app is really great. There are so many study notes and help [...]. My problem subject is French, for example, and the app has so many options for help. Thanks to this app, I have improved my French. I would recommend it to anyone.
Samantha Klich
Android user
Wow, I am really amazed. I just tried the app because I've seen it advertised many times and was absolutely stunned. This app is THE HELP you want for school and above all, it offers so many things, such as workouts and fact sheets, which have been VERY helpful to me personally.
Anna
iOS user
I think it’s very much worth it and you’ll end up using it a lot once you get the hang of it and even after looking at others notes you can still ask your Artificial intelligence buddy the question and ask to simplify it if you still don’t get it!!! In the end I think it’s worth it 😊👍 ⚠️Also DID I MENTION ITS FREEE YOU DON’T HAVE TO PAY FOR ANYTHING AND STILL GET YOUR GRADES IN PERFECTLY❗️❗️⚠️
Thomas R
iOS user
Knowunity is the BEST app I’ve used in a minute. This is not an ai review or anything this is genuinely coming from a 7th grade student (I know 2011 im young) but dude this app is a 10/10 i have maintained a 3.8 gpa and have plenty of time for gaming. I love it and my mom is just happy I got good grades
Brad T
Android user
Not only did it help me find the answer but it also showed me alternative ways to solve it. I was horrible in math and science but now I have an a in both subjects. Thanks for the help🤍🤍
David K
iOS user
The app's just great! All I have to do is enter the topic in the search bar and I get the response real fast. I don't have to watch 10 YouTube videos to understand something, so I'm saving my time. Highly recommended!
Sudenaz Ocak
Android user
In school I was really bad at maths but thanks to the app, I am doing better now. I am so grateful that you made the app.
Greenlight Bonnie
Android user
I found this app a couple years ago and it has only gotten better since then. I really love it because it can help with written questions and photo questions. Also, it can find study guides that other people have made as well as flashcard sets and practice tests. The free version is also amazing for students who might not be able to afford it. Would 100% recommend
Aubrey
iOS user
Best app if you're in Highschool or Junior high. I have been using this app for 2 school years and it's the best, it's good if you don't have anyone to help you with school work.😋🩷🎀
Marco B
iOS user
THE QUIZES AND FLASHCARDS ARE SO USEFUL AND I LOVE THE SCHOOLGPT. IT ALSO IS LITREALLY LIKE CHATGPT BUT SMARTER!! HELPED ME WITH MY MASCARA PROBLEMS TOO!! AS WELL AS MY REAL SUBJECTS ! DUHHH 😍😁😲🤑💗✨🎀😮
Elisha
iOS user
This app is phenomenal down to the correct info and the various topics you can study! I greatly recommend it for people who struggle with procrastination and those who need homework help. It has been perfectly accurate for world 1 history as far as I’ve seen! Geometry too!
Paul T
iOS user
The app is very easy to use and well designed. I have found everything I was looking for so far and have been able to learn a lot from the presentations! I will definitely use the app for a class assignment! And of course it also helps a lot as an inspiration.
Stefan S
iOS user
This app is really great. There are so many study notes and help [...]. My problem subject is French, for example, and the app has so many options for help. Thanks to this app, I have improved my French. I would recommend it to anyone.
Samantha Klich
Android user
Wow, I am really amazed. I just tried the app because I've seen it advertised many times and was absolutely stunned. This app is THE HELP you want for school and above all, it offers so many things, such as workouts and fact sheets, which have been VERY helpful to me personally.
Anna
iOS user
I think it’s very much worth it and you’ll end up using it a lot once you get the hang of it and even after looking at others notes you can still ask your Artificial intelligence buddy the question and ask to simplify it if you still don’t get it!!! In the end I think it’s worth it 😊👍 ⚠️Also DID I MENTION ITS FREEE YOU DON’T HAVE TO PAY FOR ANYTHING AND STILL GET YOUR GRADES IN PERFECTLY❗️❗️⚠️
Thomas R
iOS user
Knowunity is the BEST app I’ve used in a minute. This is not an ai review or anything this is genuinely coming from a 7th grade student (I know 2011 im young) but dude this app is a 10/10 i have maintained a 3.8 gpa and have plenty of time for gaming. I love it and my mom is just happy I got good grades
Brad T
Android user
Not only did it help me find the answer but it also showed me alternative ways to solve it. I was horrible in math and science but now I have an a in both subjects. Thanks for the help🤍🤍
David K
iOS user
The app's just great! All I have to do is enter the topic in the search bar and I get the response real fast. I don't have to watch 10 YouTube videos to understand something, so I'm saving my time. Highly recommended!
Sudenaz Ocak
Android user
In school I was really bad at maths but thanks to the app, I am doing better now. I am so grateful that you made the app.
Greenlight Bonnie
Android user
I found this app a couple years ago and it has only gotten better since then. I really love it because it can help with written questions and photo questions. Also, it can find study guides that other people have made as well as flashcard sets and practice tests. The free version is also amazing for students who might not be able to afford it. Would 100% recommend
Aubrey
iOS user
Best app if you're in Highschool or Junior high. I have been using this app for 2 school years and it's the best, it's good if you don't have anyone to help you with school work.😋🩷🎀
Marco B
iOS user
THE QUIZES AND FLASHCARDS ARE SO USEFUL AND I LOVE THE SCHOOLGPT. IT ALSO IS LITREALLY LIKE CHATGPT BUT SMARTER!! HELPED ME WITH MY MASCARA PROBLEMS TOO!! AS WELL AS MY REAL SUBJECTS ! DUHHH 😍😁😲🤑💗✨🎀😮
Elisha
iOS user
This app is phenomenal down to the correct info and the various topics you can study! I greatly recommend it for people who struggle with procrastination and those who need homework help. It has been perfectly accurate for world 1 history as far as I’ve seen! Geometry too!
Paul T
iOS user
Jona Mariz De Venecia
@jonadv
Ever wondered how to solve equations that have x² in them? Welcome to quadratic equations - they're basically math sentences with a variable raised to the power of 2, and they show up everywhere from physics to business!

Access to all documents
Improve your grades
Join milions of students
By signing up you accept Terms of Service and Privacy Policy
Think of a quadratic equation as a special type of math problem that always has an x² term. Unlike the linear equations you're used to, these have a curved relationship instead of a straight line.
Every quadratic equation follows the standard form: ax² + bx + c = 0, where a, b, and c are regular numbers, but a can never be zero (otherwise it wouldn't be quadratic anymore!). The quadratic term is the ax² part, the linear term is bx, and c is called the constant term.
💡 Remember: If there's no x² term, it's not a quadratic equation!
For example, in 2x² + 5x - 3 = 0, you have a = 2, b = 5, and c = -3. Sometimes you'll need to rearrange equations to get them in standard form first.

Access to all documents
Improve your grades
Join milions of students
By signing up you accept Terms of Service and Privacy Policy
The easiest method works when your quadratic equation looks like x² = k (some number). This is called extracting square roots, and it's your fastest route to the answer.
Here's the key rule: if k is positive, you get two real solutions x = ±√k. If k equals zero, you get one real solution x = 0. If k is negative, there are no real solutions (the answers become imaginary).
Let's see this in action: x² = 16 becomes x = ±4, so your solutions are x = 4 and x = -4. Always check your answers by plugging them back into the original equation!
💡 Pro tip: Perfect squares like 1, 4, 9, 16, 25 make your calculations much easier.

Access to all documents
Improve your grades
Join milions of students
By signing up you accept Terms of Service and Privacy Policy
Sometimes your equation isn't quite in the form x² = k, but you can still use extracting square roots. You might need to move terms around first or deal with expressions in parentheses.
For problems like ² = 25, take the square root of both sides to get x + 2 = ±5. Then solve two simple equations: x + 2 = 5 gives x = 3, and x + 2 = -5 gives x = -7.
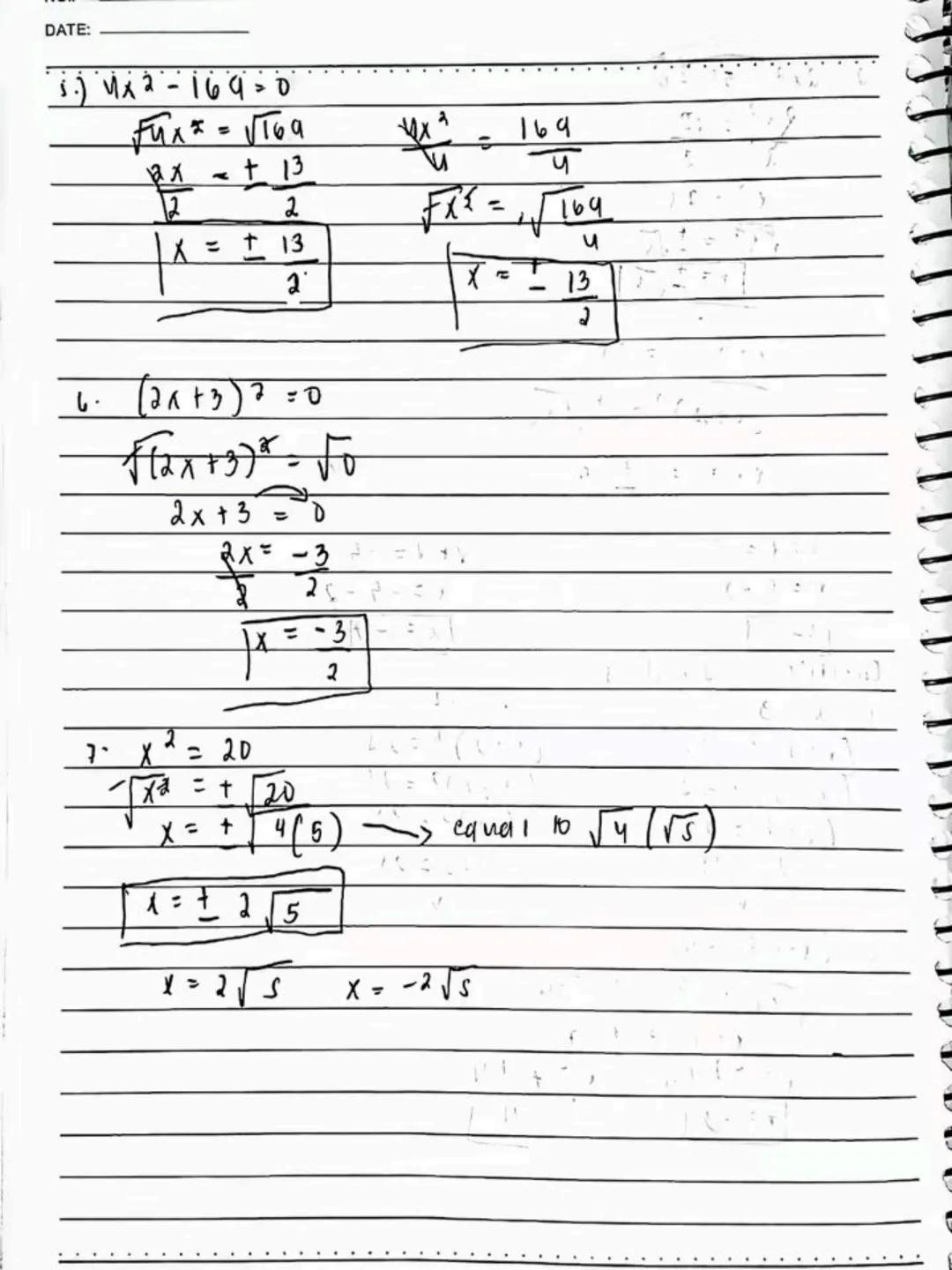
When you see coefficients like 4x² - 169 = 0, rearrange to get 4x² = 169, then x² = 169/4. Taking the square root gives you 2x = ±13, so x = ±13/2.
💡 Quick check: Always substitute your answers back into the original equation to make sure they work!

Access to all documents
Improve your grades
Join milions of students
By signing up you accept Terms of Service and Privacy Policy
Factoring is like reverse multiplication - you're breaking down the quadratic into two simpler expressions that multiply together. This method works great when the quadratic can be written as a product of two binomials.
The magic happens with the Zero Product Property: if = 0, then either x + 4 = 0 or x + 3 = 0. This gives you x = -4 or x = -3 as your solutions.
To factor successfully, look for two numbers that multiply to give you the constant term and add up to the coefficient of the x term. For x² + 7x + 12 = 0, you need numbers that multiply to 12 and add to 7 - that's 4 and 3!
💡 Strategy: Start by getting your equation in standard form, then look for patterns like perfect squares or differences of squares.

Access to all documents
Improve your grades
Join milions of students
By signing up you accept Terms of Service and Privacy Policy
Completing the square is your go-to method when factoring gets tricky. The idea is to transform your quadratic into a perfect square trinomial, which then becomes easy to solve.
A perfect square trinomial looks like ² and expands to x² + 2ax + a². The key insight is that the constant term is always half the coefficient of x, squared.
For example, x² + 4x becomes a perfect square when you add 4 , giving you x² + 4x + 4 = ². This method works for any quadratic equation, making it super reliable.
💡 Memory trick: Take half of the middle coefficient, square it, and add it to both sides of your equation.

Access to all documents
Improve your grades
Join milions of students
By signing up you accept Terms of Service and Privacy Policy

Access to all documents
Improve your grades
Join milions of students
By signing up you accept Terms of Service and Privacy Policy

Access to all documents
Improve your grades
Join milions of students
By signing up you accept Terms of Service and Privacy Policy

Access to all documents
Improve your grades
Join milions of students
By signing up you accept Terms of Service and Privacy Policy

Access to all documents
Improve your grades
Join milions of students
By signing up you accept Terms of Service and Privacy Policy
Our AI companion is specifically built for the needs of students. Based on the millions of content pieces we have on the platform we can provide truly meaningful and relevant answers to students. But its not only about answers, the companion is even more about guiding students through their daily learning challenges, with personalised study plans, quizzes or content pieces in the chat and 100% personalisation based on the students skills and developments.
You can download the app in the Google Play Store and in the Apple App Store.
That's right! Enjoy free access to study content, connect with fellow students, and get instant help – all at your fingertips.
82
Smart Tools NEW
Transform this note into: ✓ 50+ Practice Questions ✓ Interactive Flashcards ✓ Full Mock Exam ✓ Essay Outlines
App Store
Google Play
The app is very easy to use and well designed. I have found everything I was looking for so far and have been able to learn a lot from the presentations! I will definitely use the app for a class assignment! And of course it also helps a lot as an inspiration.
Stefan S
iOS user
This app is really great. There are so many study notes and help [...]. My problem subject is French, for example, and the app has so many options for help. Thanks to this app, I have improved my French. I would recommend it to anyone.
Samantha Klich
Android user
Wow, I am really amazed. I just tried the app because I've seen it advertised many times and was absolutely stunned. This app is THE HELP you want for school and above all, it offers so many things, such as workouts and fact sheets, which have been VERY helpful to me personally.
Anna
iOS user
I think it’s very much worth it and you’ll end up using it a lot once you get the hang of it and even after looking at others notes you can still ask your Artificial intelligence buddy the question and ask to simplify it if you still don’t get it!!! In the end I think it’s worth it 😊👍 ⚠️Also DID I MENTION ITS FREEE YOU DON’T HAVE TO PAY FOR ANYTHING AND STILL GET YOUR GRADES IN PERFECTLY❗️❗️⚠️
Thomas R
iOS user
Knowunity is the BEST app I’ve used in a minute. This is not an ai review or anything this is genuinely coming from a 7th grade student (I know 2011 im young) but dude this app is a 10/10 i have maintained a 3.8 gpa and have plenty of time for gaming. I love it and my mom is just happy I got good grades
Brad T
Android user
Not only did it help me find the answer but it also showed me alternative ways to solve it. I was horrible in math and science but now I have an a in both subjects. Thanks for the help🤍🤍
David K
iOS user
The app's just great! All I have to do is enter the topic in the search bar and I get the response real fast. I don't have to watch 10 YouTube videos to understand something, so I'm saving my time. Highly recommended!
Sudenaz Ocak
Android user
In school I was really bad at maths but thanks to the app, I am doing better now. I am so grateful that you made the app.
Greenlight Bonnie
Android user
I found this app a couple years ago and it has only gotten better since then. I really love it because it can help with written questions and photo questions. Also, it can find study guides that other people have made as well as flashcard sets and practice tests. The free version is also amazing for students who might not be able to afford it. Would 100% recommend
Aubrey
iOS user
Best app if you're in Highschool or Junior high. I have been using this app for 2 school years and it's the best, it's good if you don't have anyone to help you with school work.😋🩷🎀
Marco B
iOS user
THE QUIZES AND FLASHCARDS ARE SO USEFUL AND I LOVE THE SCHOOLGPT. IT ALSO IS LITREALLY LIKE CHATGPT BUT SMARTER!! HELPED ME WITH MY MASCARA PROBLEMS TOO!! AS WELL AS MY REAL SUBJECTS ! DUHHH 😍😁😲🤑💗✨🎀😮
Elisha
iOS user
This app is phenomenal down to the correct info and the various topics you can study! I greatly recommend it for people who struggle with procrastination and those who need homework help. It has been perfectly accurate for world 1 history as far as I’ve seen! Geometry too!
Paul T
iOS user
The app is very easy to use and well designed. I have found everything I was looking for so far and have been able to learn a lot from the presentations! I will definitely use the app for a class assignment! And of course it also helps a lot as an inspiration.
Stefan S
iOS user
This app is really great. There are so many study notes and help [...]. My problem subject is French, for example, and the app has so many options for help. Thanks to this app, I have improved my French. I would recommend it to anyone.
Samantha Klich
Android user
Wow, I am really amazed. I just tried the app because I've seen it advertised many times and was absolutely stunned. This app is THE HELP you want for school and above all, it offers so many things, such as workouts and fact sheets, which have been VERY helpful to me personally.
Anna
iOS user
I think it’s very much worth it and you’ll end up using it a lot once you get the hang of it and even after looking at others notes you can still ask your Artificial intelligence buddy the question and ask to simplify it if you still don’t get it!!! In the end I think it’s worth it 😊👍 ⚠️Also DID I MENTION ITS FREEE YOU DON’T HAVE TO PAY FOR ANYTHING AND STILL GET YOUR GRADES IN PERFECTLY❗️❗️⚠️
Thomas R
iOS user
Knowunity is the BEST app I’ve used in a minute. This is not an ai review or anything this is genuinely coming from a 7th grade student (I know 2011 im young) but dude this app is a 10/10 i have maintained a 3.8 gpa and have plenty of time for gaming. I love it and my mom is just happy I got good grades
Brad T
Android user
Not only did it help me find the answer but it also showed me alternative ways to solve it. I was horrible in math and science but now I have an a in both subjects. Thanks for the help🤍🤍
David K
iOS user
The app's just great! All I have to do is enter the topic in the search bar and I get the response real fast. I don't have to watch 10 YouTube videos to understand something, so I'm saving my time. Highly recommended!
Sudenaz Ocak
Android user
In school I was really bad at maths but thanks to the app, I am doing better now. I am so grateful that you made the app.
Greenlight Bonnie
Android user
I found this app a couple years ago and it has only gotten better since then. I really love it because it can help with written questions and photo questions. Also, it can find study guides that other people have made as well as flashcard sets and practice tests. The free version is also amazing for students who might not be able to afford it. Would 100% recommend
Aubrey
iOS user
Best app if you're in Highschool or Junior high. I have been using this app for 2 school years and it's the best, it's good if you don't have anyone to help you with school work.😋🩷🎀
Marco B
iOS user
THE QUIZES AND FLASHCARDS ARE SO USEFUL AND I LOVE THE SCHOOLGPT. IT ALSO IS LITREALLY LIKE CHATGPT BUT SMARTER!! HELPED ME WITH MY MASCARA PROBLEMS TOO!! AS WELL AS MY REAL SUBJECTS ! DUHHH 😍😁😲🤑💗✨🎀😮
Elisha
iOS user
This app is phenomenal down to the correct info and the various topics you can study! I greatly recommend it for people who struggle with procrastination and those who need homework help. It has been perfectly accurate for world 1 history as far as I’ve seen! Geometry too!
Paul T
iOS user