Ready to tackle polynomial division, complex numbers, and finding zeros?... Show more
Sign up to see the contentIt's free!
Access to all documents
Improve your grades
Join milions of students
Knowunity AI
Subjects
Triangle Congruence and Similarity Theorems
Triangle Properties and Classification
Linear Equations and Graphs
Geometric Angle Relationships
Trigonometric Functions and Identities
Equation Solving Techniques
Circle Geometry Fundamentals
Division Operations and Methods
Basic Differentiation Rules
Exponent and Logarithm Properties
Show all topics
Human Organ Systems
Reproductive Cell Cycles
Biological Sciences Subdisciplines
Cellular Energy Metabolism
Autotrophic Energy Processes
Inheritance Patterns and Principles
Biomolecular Structure and Organization
Cell Cycle and Division Mechanics
Cellular Organization and Development
Biological Structural Organization
Show all topics
Chemical Sciences and Applications
Atomic Structure and Composition
Molecular Electron Structure Representation
Atomic Electron Behavior
Matter Properties and Water
Mole Concept and Calculations
Gas Laws and Behavior
Periodic Table Organization
Chemical Thermodynamics Fundamentals
Chemical Bond Types and Properties
Show all topics
European Renaissance and Enlightenment
European Cultural Movements 800-1920
American Revolution Era 1763-1797
American Civil War 1861-1865
Global Imperial Systems
Mongol and Chinese Dynasties
U.S. Presidents and World Leaders
Historical Sources and Documentation
World Wars Era and Impact
World Religious Systems
Show all topics
Classic and Contemporary Novels
Literary Character Analysis
Rhetorical Theory and Practice
Classic Literary Narratives
Reading Analysis and Interpretation
Narrative Structure and Techniques
English Language Components
Influential English-Language Authors
Basic Sentence Structure
Narrative Voice and Perspective
Show all topics
222
•
Updated May 13, 2026
•
Ready to tackle polynomial division, complex numbers, and finding zeros?... Show more









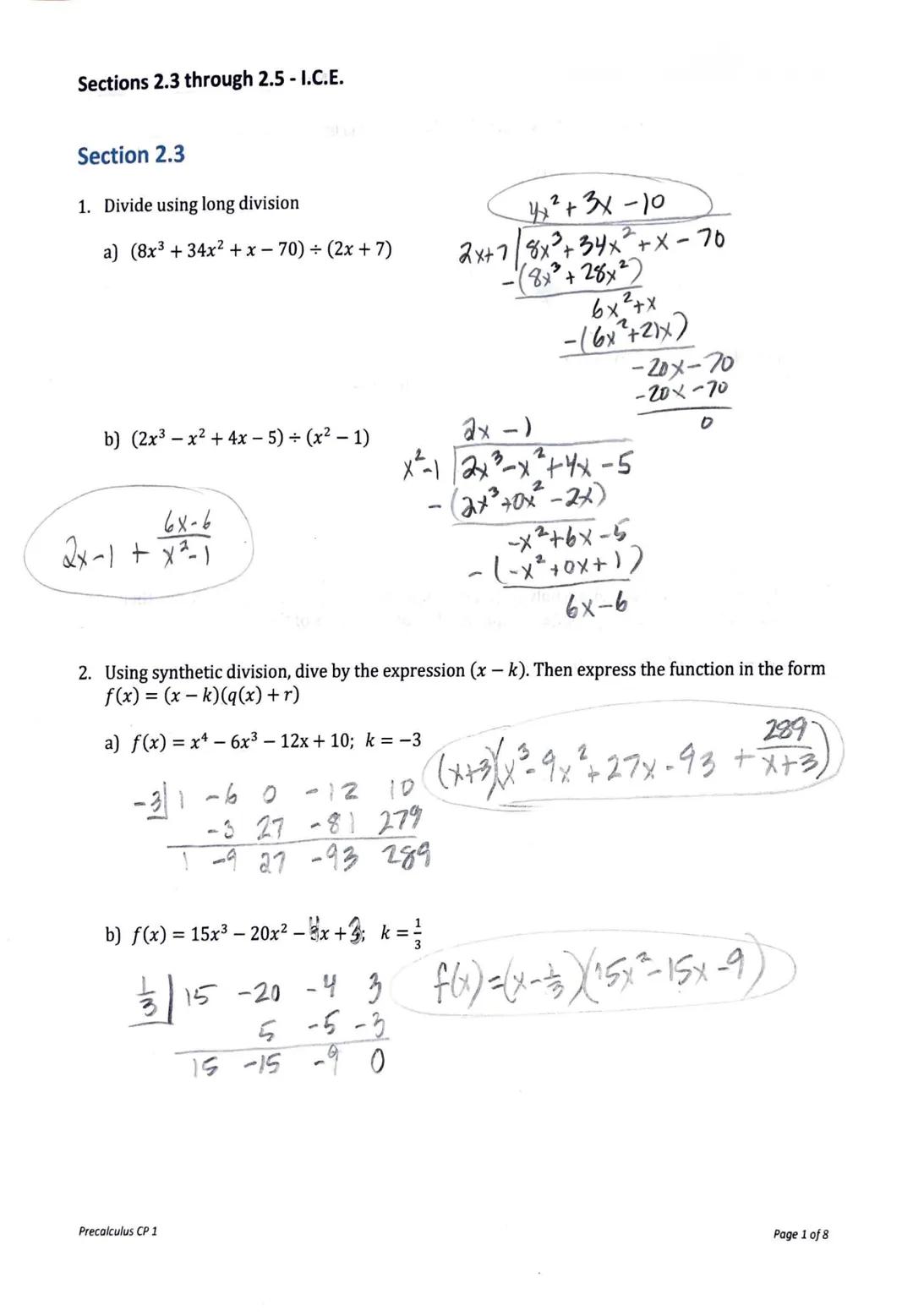
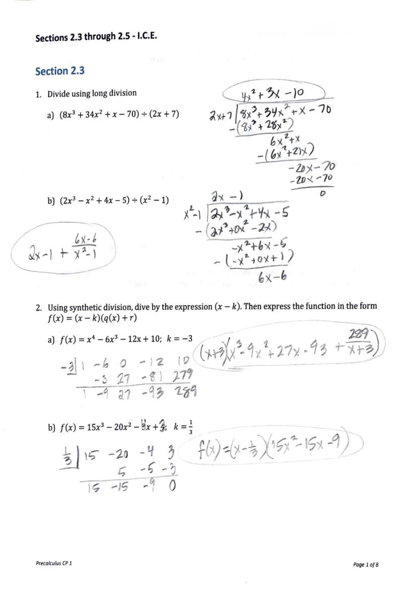
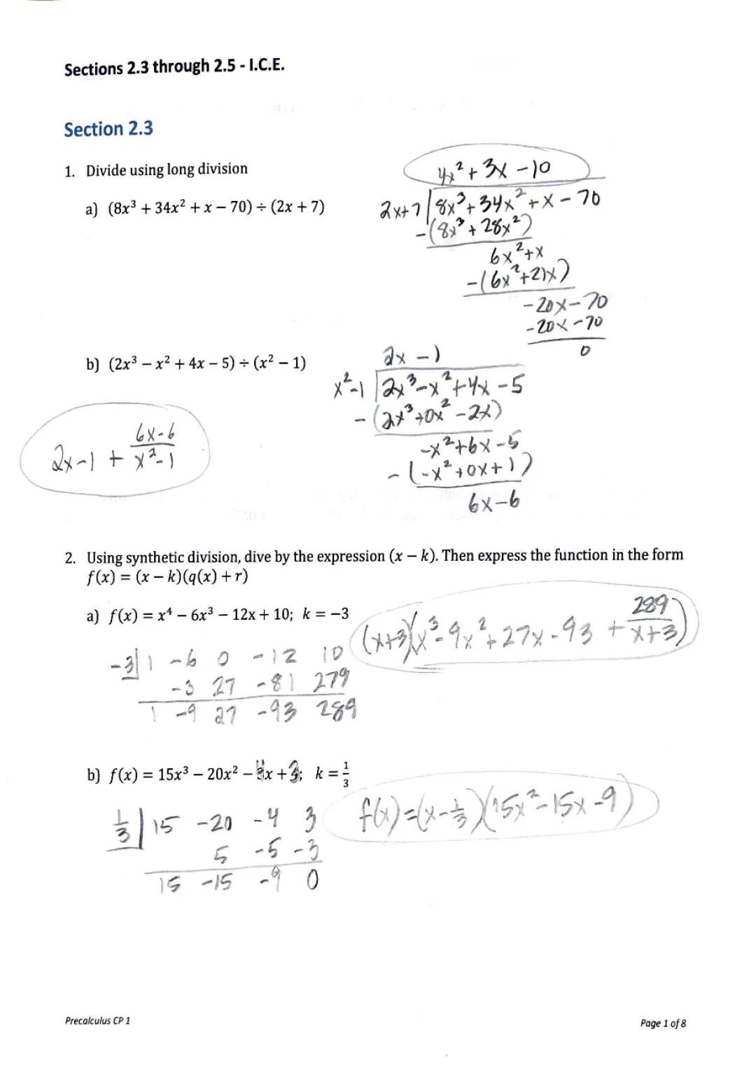
Ever wondered how to break down complicated polynomials? Long division helps you split them into simpler parts.
To divide polynomials using long division, set up the problem similar to regular division. Divide the first term of the dividend by the first term of the divisor, then multiply, subtract, and bring down terms until complete. For example, when dividing by , you get a quotient of $4x^2 + 3x - 10$.
Synthetic division offers a shortcut when dividing by . This method eliminates variables and uses just the coefficients. After completing synthetic division, you can express functions in the form , where is the quotient polynomial and is the remainder.
Quick Tip: In synthetic division, only write the coefficients and drop the variables to make the process faster. This technique saves time on tests!
When using synthetic division, remember to include zero coefficients for any missing terms in your polynomial. This ensures all terms are accounted for during the division process.

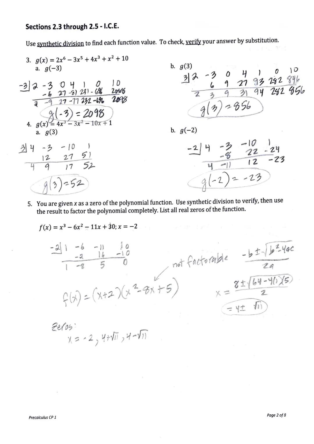
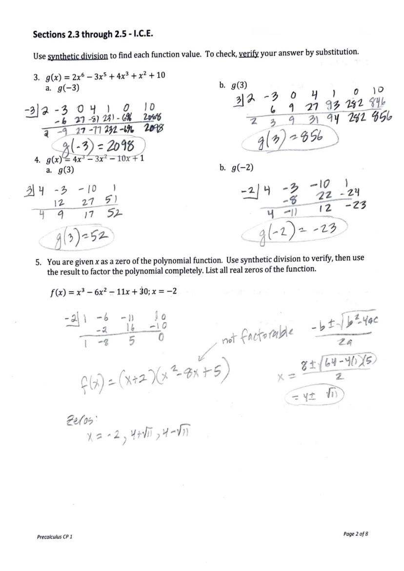
Synthetic division isn't just for dividing polynomials—it's also a quick way to evaluate functions!
To find function values like or , use synthetic division with the value you're evaluating. The remainder at the end of your synthetic division work is the function value. This method is much faster than direct substitution, especially for higher-degree polynomials.
When a number is a zero of a polynomial, the remainder after synthetic division will be zero. For example, if you divide by , getting a remainder of zero confirms that is a zero of the function.
After confirming a zero, you can factor the polynomial further. The quotient you get from synthetic division becomes one factor, and is the other. Sometimes you can factor the quotient further, helping you find all zeros of the function.
Remember: When synthetic division gives you a remainder of zero, the divisor is a factor of your polynomial, and is a zero of the function.

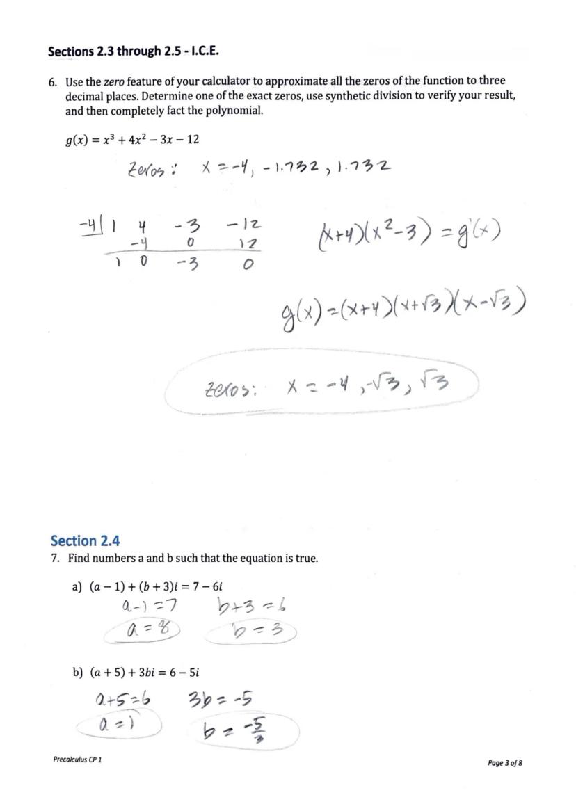
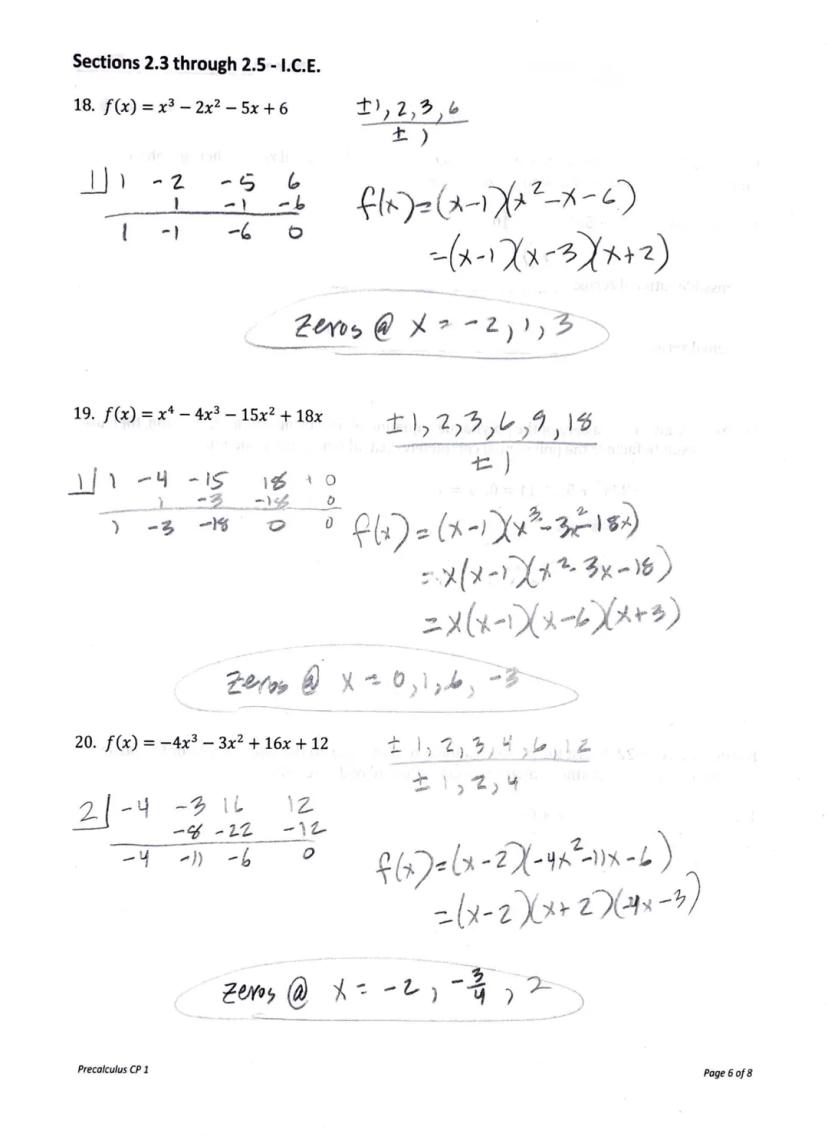
Finding all zeros of a polynomial helps you understand its behavior and graph.
When you know one zero of a polynomial, you can use synthetic division to factor out , where is the known zero. After division, you're left with a lower-degree polynomial that's easier to solve. For the function , if is a zero, synthetic division confirms this and gives you .
You can further factor this result into , giving you all three zeros: . Each factor corresponds to where the graph crosses the x-axis.
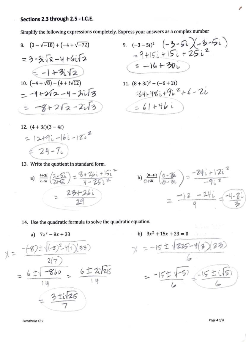
Complex numbers introduce a new dimension to algebra problems. They take the form , where . To find values like and in an equation such as , match the real and imaginary parts on both sides: and , giving and .
Pro Tip: When factoring completely, your final factors should be either linear or irreducible quadratics (those that can't be factored further with real numbers).

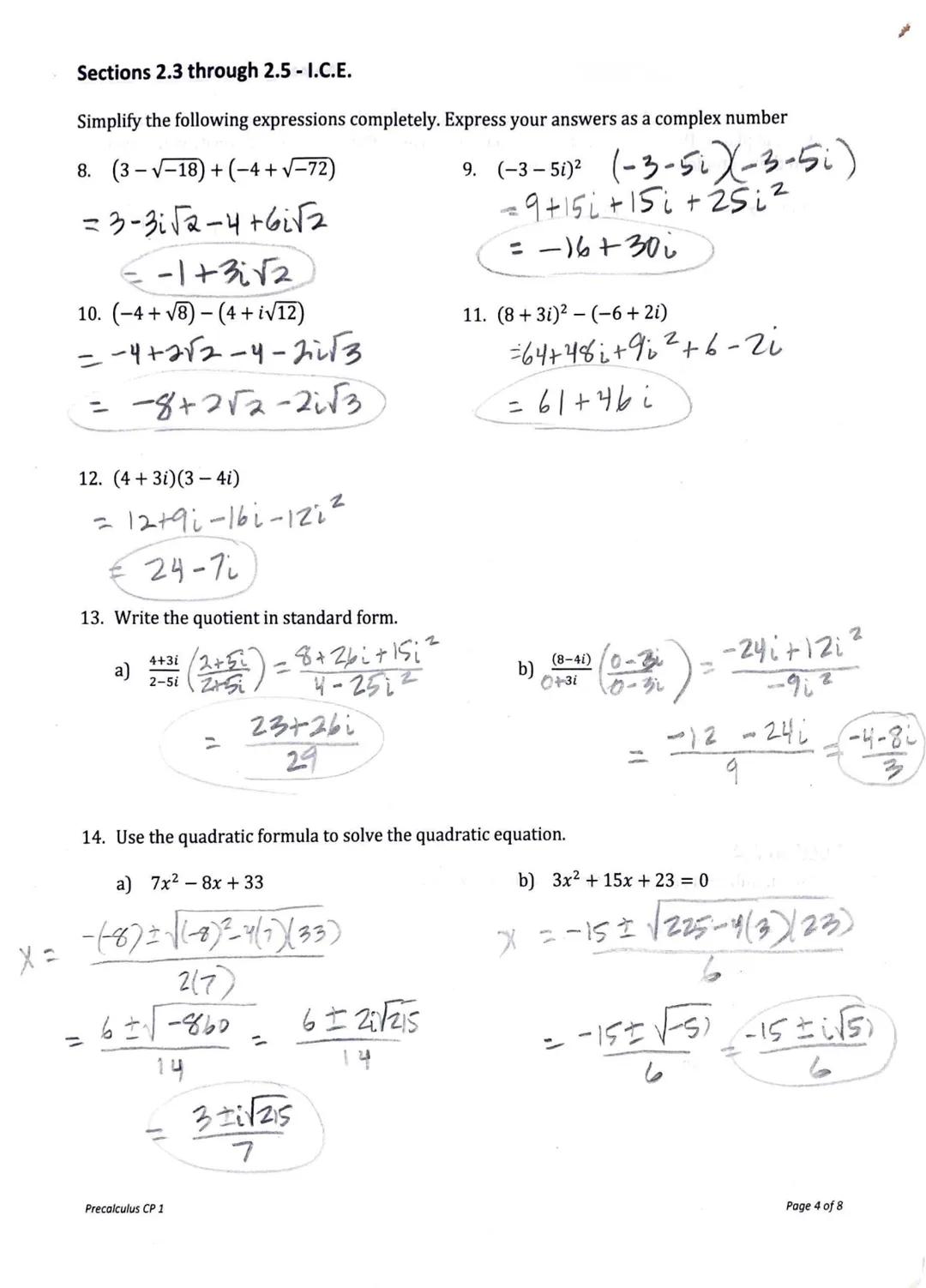
Complex numbers open up a whole new world of solutions when real numbers aren't enough!
To add or subtract complex numbers, combine like terms separately. For real parts, add/subtract real parts; for imaginary parts, add/subtract imaginary parts. For example, . This works just like combining like terms in regular algebra.
Multiplying complex numbers uses the distributive property—multiply each term in the first expression by each term in the second. Remember that , which simplifies your final result. For , you get $12-16i+9i-12i^2 = 12-7i+12 = 24-7i$.
Dividing complex numbers requires a special technique called rationalization. Multiply both numerator and denominator by the conjugate of the denominator (same expression but with the opposite sign for the imaginary part). This eliminates the imaginary part in the denominator. For , multiply by to get .
Simplification Shortcut: When solving quadratics with complex solutions, the solutions always appear in complex conjugate pairs like $3+i\sqrt{215}$ and $3-i\sqrt{215}$.

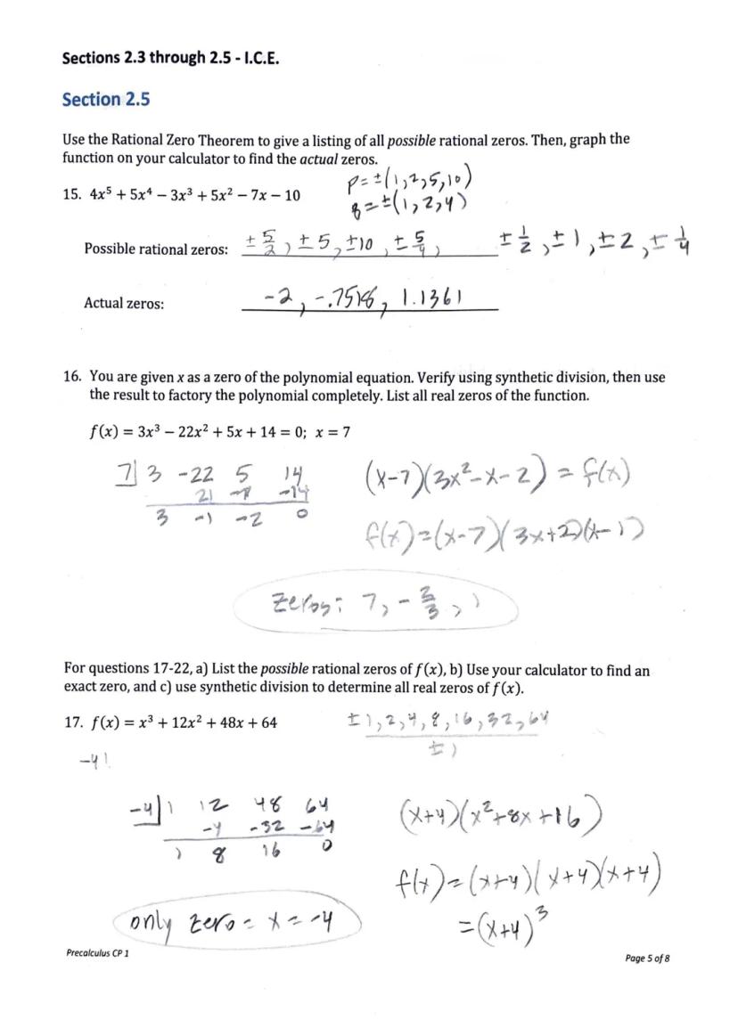
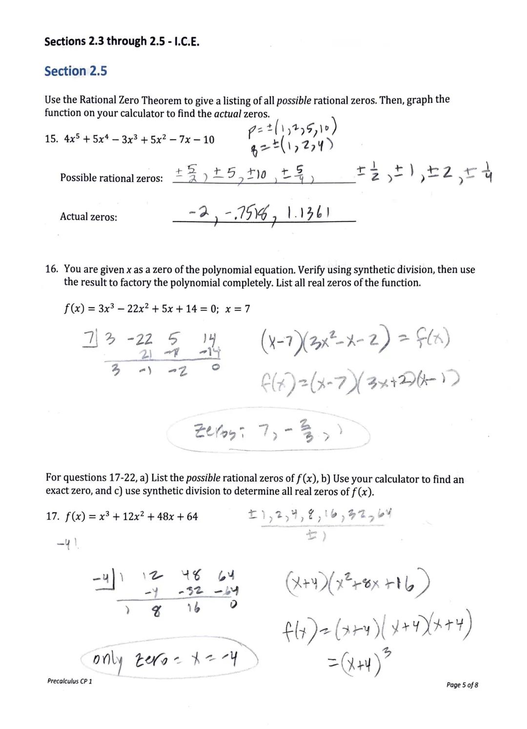
The Rational Zero Theorem gives you a list of possible rational zeros without having to test every number.
To find all possible rational zeros of a polynomial, list all factors of the constant term (p) and all factors of the leading coefficient (q). The possible rational zeros are . For example, in $4x^5 + 5x^4 - 3x^3 + 5x^2 - 7x - 10\pm1, \pm2, \pm5, \pm10, \pm\frac{5}{2}, \pm\frac{5}{4}$.
After finding possible zeros, use your calculator to graph the function or use synthetic division to check each one. When you find an actual zero like 7 for , use synthetic division to verify it and factor the polynomial as .
You can factor further to get , giving all zeros: 7, , and 1. These zeros tell you exactly where the graph crosses the x-axis.
Test Strategy: On tests, try integers first when checking for rational zeros—they're usually easier to work with and are common solutions in classroom problems.

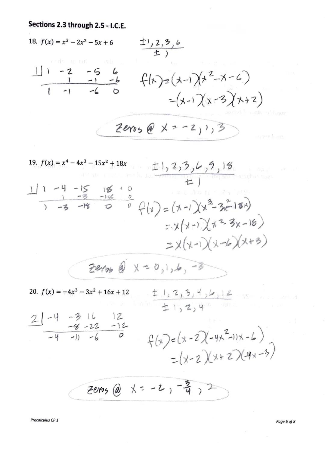
Breaking down polynomials completely helps you understand their behavior and find all solutions.
When factoring polynomials, start by finding one zero using the Rational Zero Theorem and your calculator. For , trying x = 1 and using synthetic division confirms it's a zero, giving .
After finding the first factor, continue factoring the remaining polynomial. The quadratic factor can be factored as , giving the complete factorization . This tells you the function has zeros at x = 1, 3, and -2.
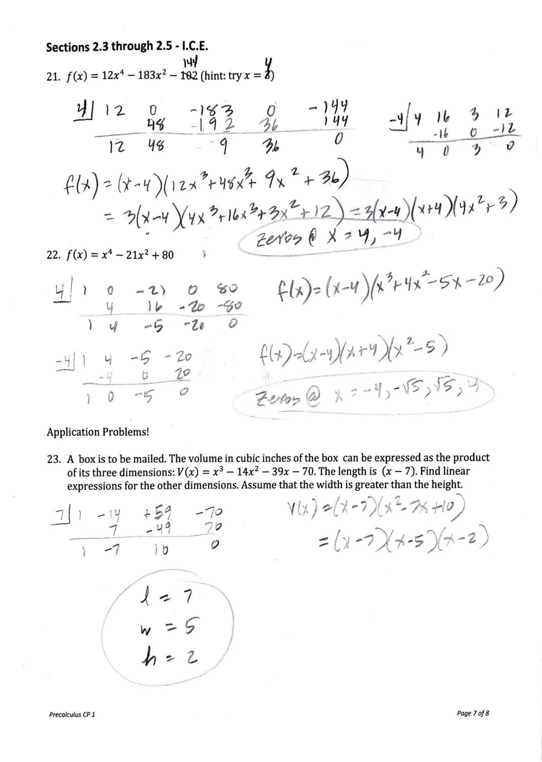
For higher-degree polynomials like , you may need to repeat this process multiple times. Start by factoring out any common factors (like x) first. Then find one zero and continue factoring the resulting polynomial until you can't factor further.
Visual Connection: Each factor of the form corresponds to where the graph crosses the x-axis at the point a. The graph touches but doesn't cross at x=a when appears multiple times in the factorization.

Some polynomials require special techniques to factor completely, especially when they have irrational or complex zeros.
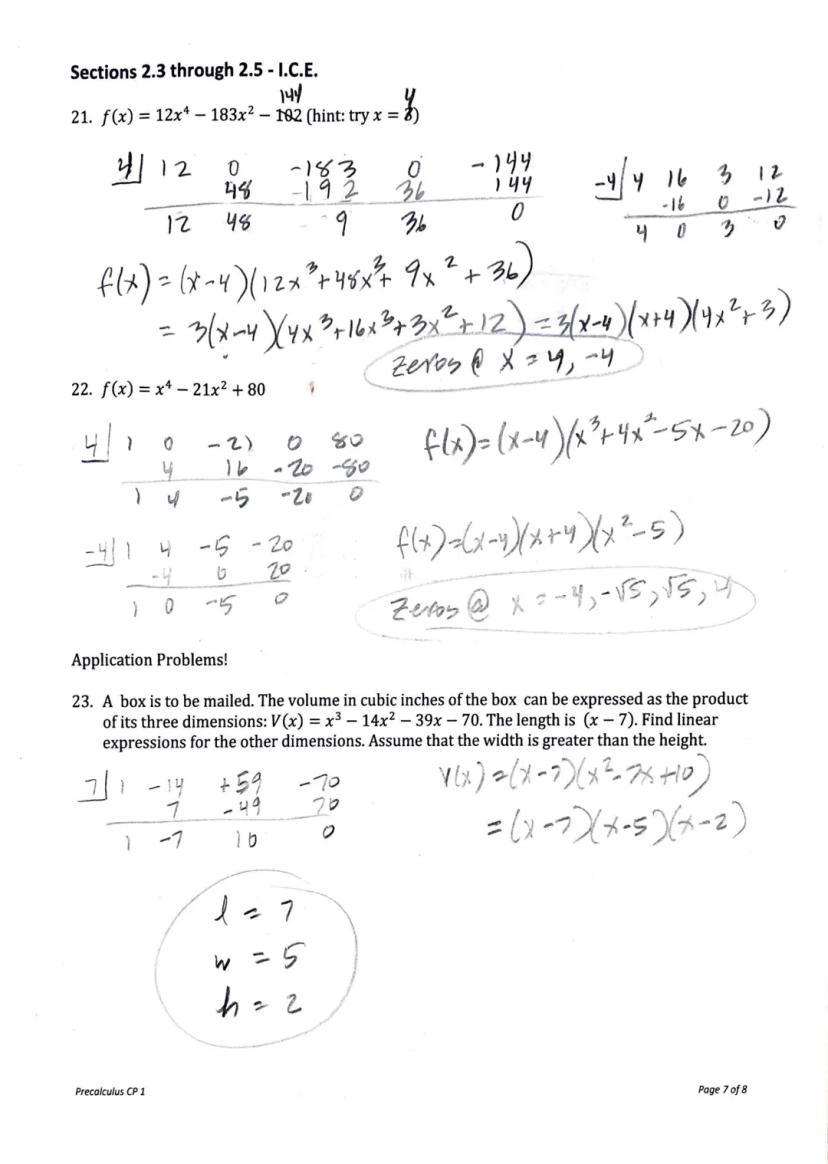
When facing a difficult polynomial like , try specific values that might simplify your work. After finding x = 4 is a zero and using synthetic division, you get . The quadratic factor can be written as $1212$.
For polynomials with even powers and only even exponents, like , try substituting to make factoring easier. This gives .
Real-world problems often involve factoring polynomials to find dimensions or key values. For a box with volume where the length is , use synthetic division to find the other factors: , giving width = 5 and height = 2.
Application Alert: In real-world problems, always check if your mathematical solution makes physical sense—negative dimensions aren't possible for physical objects!

Polynomial functions appear in many real-world situations, from designing boxes to modeling roller coaster tracks.
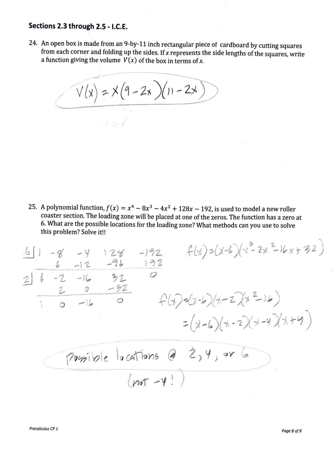
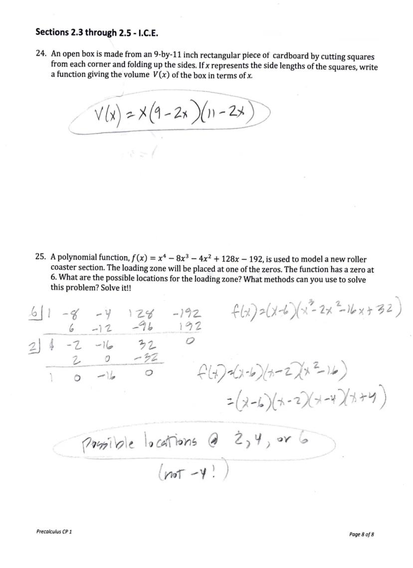
When creating an open box from a rectangular piece of cardboard, you cut equal squares from each corner and fold up the sides. If you start with a 9-by-11 inch piece and cut squares with side length x, the volume function is . This polynomial helps you find the maximum possible volume.
Polynomials also model physical situations like roller coaster designs. If represents a roller coaster section, and you need to place a loading zone at one of the zeros, you must find all zeros. Starting with the known zero x = 6 and using synthetic division, you get .
Further factoring gives , showing that possible loading zone locations are at x = 2, 4, or 6 .
Real-World Context: When solving application problems, always consider the context to eliminate impossible solutions—like negative lengths or locations in physical space.
Our AI companion is specifically built for the needs of students. Based on the millions of content pieces we have on the platform we can provide truly meaningful and relevant answers to students. But its not only about answers, the companion is even more about guiding students through their daily learning challenges, with personalised study plans, quizzes or content pieces in the chat and 100% personalisation based on the students skills and developments.
You can download the app in the Google Play Store and in the Apple App Store.
That's right! Enjoy free access to study content, connect with fellow students, and get instant help – all at your fingertips.
App Store
Google Play
The app is very easy to use and well designed. I have found everything I was looking for so far and have been able to learn a lot from the presentations! I will definitely use the app for a class assignment! And of course it also helps a lot as an inspiration.
Stefan S
iOS user
This app is really great. There are so many study notes and help [...]. My problem subject is French, for example, and the app has so many options for help. Thanks to this app, I have improved my French. I would recommend it to anyone.
Samantha Klich
Android user
Wow, I am really amazed. I just tried the app because I've seen it advertised many times and was absolutely stunned. This app is THE HELP you want for school and above all, it offers so many things, such as workouts and fact sheets, which have been VERY helpful to me personally.
Anna
iOS user
I think it’s very much worth it and you’ll end up using it a lot once you get the hang of it and even after looking at others notes you can still ask your Artificial intelligence buddy the question and ask to simplify it if you still don’t get it!!! In the end I think it’s worth it 😊👍 ⚠️Also DID I MENTION ITS FREEE YOU DON’T HAVE TO PAY FOR ANYTHING AND STILL GET YOUR GRADES IN PERFECTLY❗️❗️⚠️
Thomas R
iOS user
Knowunity is the BEST app I’ve used in a minute. This is not an ai review or anything this is genuinely coming from a 7th grade student (I know 2011 im young) but dude this app is a 10/10 i have maintained a 3.8 gpa and have plenty of time for gaming. I love it and my mom is just happy I got good grades
Brad T
Android user
Not only did it help me find the answer but it also showed me alternative ways to solve it. I was horrible in math and science but now I have an a in both subjects. Thanks for the help🤍🤍
David K
iOS user
The app's just great! All I have to do is enter the topic in the search bar and I get the response real fast. I don't have to watch 10 YouTube videos to understand something, so I'm saving my time. Highly recommended!
Sudenaz Ocak
Android user
In school I was really bad at maths but thanks to the app, I am doing better now. I am so grateful that you made the app.
Greenlight Bonnie
Android user
I found this app a couple years ago and it has only gotten better since then. I really love it because it can help with written questions and photo questions. Also, it can find study guides that other people have made as well as flashcard sets and practice tests. The free version is also amazing for students who might not be able to afford it. Would 100% recommend
Aubrey
iOS user
Best app if you're in Highschool or Junior high. I have been using this app for 2 school years and it's the best, it's good if you don't have anyone to help you with school work.😋🩷🎀
Marco B
iOS user
THE QUIZES AND FLASHCARDS ARE SO USEFUL AND I LOVE Knowunity AI. IT ALSO IS LITREALLY LIKE CHATGPT BUT SMARTER!! HELPED ME WITH MY MASCARA PROBLEMS TOO!! AS WELL AS MY REAL SUBJECTS ! DUHHH 😍😁😲🤑💗✨🎀😮
Elisha
iOS user
This app is phenomenal down to the correct info and the various topics you can study! I greatly recommend it for people who struggle with procrastination and those who need homework help. It has been perfectly accurate for world 1 history as far as I’ve seen! Geometry too!
Paul T
iOS user
The app is very easy to use and well designed. I have found everything I was looking for so far and have been able to learn a lot from the presentations! I will definitely use the app for a class assignment! And of course it also helps a lot as an inspiration.
Stefan S
iOS user
This app is really great. There are so many study notes and help [...]. My problem subject is French, for example, and the app has so many options for help. Thanks to this app, I have improved my French. I would recommend it to anyone.
Samantha Klich
Android user
Wow, I am really amazed. I just tried the app because I've seen it advertised many times and was absolutely stunned. This app is THE HELP you want for school and above all, it offers so many things, such as workouts and fact sheets, which have been VERY helpful to me personally.
Anna
iOS user
I think it’s very much worth it and you’ll end up using it a lot once you get the hang of it and even after looking at others notes you can still ask your Artificial intelligence buddy the question and ask to simplify it if you still don’t get it!!! In the end I think it’s worth it 😊👍 ⚠️Also DID I MENTION ITS FREEE YOU DON’T HAVE TO PAY FOR ANYTHING AND STILL GET YOUR GRADES IN PERFECTLY❗️❗️⚠️
Thomas R
iOS user
Knowunity is the BEST app I’ve used in a minute. This is not an ai review or anything this is genuinely coming from a 7th grade student (I know 2011 im young) but dude this app is a 10/10 i have maintained a 3.8 gpa and have plenty of time for gaming. I love it and my mom is just happy I got good grades
Brad T
Android user
Not only did it help me find the answer but it also showed me alternative ways to solve it. I was horrible in math and science but now I have an a in both subjects. Thanks for the help🤍🤍
David K
iOS user
The app's just great! All I have to do is enter the topic in the search bar and I get the response real fast. I don't have to watch 10 YouTube videos to understand something, so I'm saving my time. Highly recommended!
Sudenaz Ocak
Android user
In school I was really bad at maths but thanks to the app, I am doing better now. I am so grateful that you made the app.
Greenlight Bonnie
Android user
I found this app a couple years ago and it has only gotten better since then. I really love it because it can help with written questions and photo questions. Also, it can find study guides that other people have made as well as flashcard sets and practice tests. The free version is also amazing for students who might not be able to afford it. Would 100% recommend
Aubrey
iOS user
Best app if you're in Highschool or Junior high. I have been using this app for 2 school years and it's the best, it's good if you don't have anyone to help you with school work.😋🩷🎀
Marco B
iOS user
THE QUIZES AND FLASHCARDS ARE SO USEFUL AND I LOVE Knowunity AI. IT ALSO IS LITREALLY LIKE CHATGPT BUT SMARTER!! HELPED ME WITH MY MASCARA PROBLEMS TOO!! AS WELL AS MY REAL SUBJECTS ! DUHHH 😍😁😲🤑💗✨🎀😮
Elisha
iOS user
This app is phenomenal down to the correct info and the various topics you can study! I greatly recommend it for people who struggle with procrastination and those who need homework help. It has been perfectly accurate for world 1 history as far as I’ve seen! Geometry too!
Paul T
iOS user
Ready to tackle polynomial division, complex numbers, and finding zeros? This guide breaks down these key algebra concepts with clear examples and step-by-step solutions. You'll learn essential techniques that show up frequently on tests and will help you solve more... Show more

Access to all documents
Improve your grades
Join milions of students
Ever wondered how to break down complicated polynomials? Long division helps you split them into simpler parts.
To divide polynomials using long division, set up the problem similar to regular division. Divide the first term of the dividend by the first term of the divisor, then multiply, subtract, and bring down terms until complete. For example, when dividing by , you get a quotient of $4x^2 + 3x - 10$.
Synthetic division offers a shortcut when dividing by . This method eliminates variables and uses just the coefficients. After completing synthetic division, you can express functions in the form , where is the quotient polynomial and is the remainder.
Quick Tip: In synthetic division, only write the coefficients and drop the variables to make the process faster. This technique saves time on tests!
When using synthetic division, remember to include zero coefficients for any missing terms in your polynomial. This ensures all terms are accounted for during the division process.

Access to all documents
Improve your grades
Join milions of students
Synthetic division isn't just for dividing polynomials—it's also a quick way to evaluate functions!
To find function values like or , use synthetic division with the value you're evaluating. The remainder at the end of your synthetic division work is the function value. This method is much faster than direct substitution, especially for higher-degree polynomials.
When a number is a zero of a polynomial, the remainder after synthetic division will be zero. For example, if you divide by , getting a remainder of zero confirms that is a zero of the function.
After confirming a zero, you can factor the polynomial further. The quotient you get from synthetic division becomes one factor, and is the other. Sometimes you can factor the quotient further, helping you find all zeros of the function.
Remember: When synthetic division gives you a remainder of zero, the divisor is a factor of your polynomial, and is a zero of the function.

Access to all documents
Improve your grades
Join milions of students
Finding all zeros of a polynomial helps you understand its behavior and graph.
When you know one zero of a polynomial, you can use synthetic division to factor out , where is the known zero. After division, you're left with a lower-degree polynomial that's easier to solve. For the function , if is a zero, synthetic division confirms this and gives you .
You can further factor this result into , giving you all three zeros: . Each factor corresponds to where the graph crosses the x-axis.
Complex numbers introduce a new dimension to algebra problems. They take the form , where . To find values like and in an equation such as , match the real and imaginary parts on both sides: and , giving and .
Pro Tip: When factoring completely, your final factors should be either linear or irreducible quadratics (those that can't be factored further with real numbers).

Access to all documents
Improve your grades
Join milions of students
Complex numbers open up a whole new world of solutions when real numbers aren't enough!
To add or subtract complex numbers, combine like terms separately. For real parts, add/subtract real parts; for imaginary parts, add/subtract imaginary parts. For example, . This works just like combining like terms in regular algebra.
Multiplying complex numbers uses the distributive property—multiply each term in the first expression by each term in the second. Remember that , which simplifies your final result. For , you get $12-16i+9i-12i^2 = 12-7i+12 = 24-7i$.
Dividing complex numbers requires a special technique called rationalization. Multiply both numerator and denominator by the conjugate of the denominator (same expression but with the opposite sign for the imaginary part). This eliminates the imaginary part in the denominator. For , multiply by to get .
Simplification Shortcut: When solving quadratics with complex solutions, the solutions always appear in complex conjugate pairs like $3+i\sqrt{215}$ and $3-i\sqrt{215}$.

Access to all documents
Improve your grades
Join milions of students
The Rational Zero Theorem gives you a list of possible rational zeros without having to test every number.
To find all possible rational zeros of a polynomial, list all factors of the constant term (p) and all factors of the leading coefficient (q). The possible rational zeros are . For example, in $4x^5 + 5x^4 - 3x^3 + 5x^2 - 7x - 10\pm1, \pm2, \pm5, \pm10, \pm\frac{5}{2}, \pm\frac{5}{4}$.
After finding possible zeros, use your calculator to graph the function or use synthetic division to check each one. When you find an actual zero like 7 for , use synthetic division to verify it and factor the polynomial as .
You can factor further to get , giving all zeros: 7, , and 1. These zeros tell you exactly where the graph crosses the x-axis.
Test Strategy: On tests, try integers first when checking for rational zeros—they're usually easier to work with and are common solutions in classroom problems.

Access to all documents
Improve your grades
Join milions of students
Breaking down polynomials completely helps you understand their behavior and find all solutions.
When factoring polynomials, start by finding one zero using the Rational Zero Theorem and your calculator. For , trying x = 1 and using synthetic division confirms it's a zero, giving .
After finding the first factor, continue factoring the remaining polynomial. The quadratic factor can be factored as , giving the complete factorization . This tells you the function has zeros at x = 1, 3, and -2.
For higher-degree polynomials like , you may need to repeat this process multiple times. Start by factoring out any common factors (like x) first. Then find one zero and continue factoring the resulting polynomial until you can't factor further.
Visual Connection: Each factor of the form corresponds to where the graph crosses the x-axis at the point a. The graph touches but doesn't cross at x=a when appears multiple times in the factorization.

Access to all documents
Improve your grades
Join milions of students
Some polynomials require special techniques to factor completely, especially when they have irrational or complex zeros.
When facing a difficult polynomial like , try specific values that might simplify your work. After finding x = 4 is a zero and using synthetic division, you get . The quadratic factor can be written as $1212$.
For polynomials with even powers and only even exponents, like , try substituting to make factoring easier. This gives .
Real-world problems often involve factoring polynomials to find dimensions or key values. For a box with volume where the length is , use synthetic division to find the other factors: , giving width = 5 and height = 2.
Application Alert: In real-world problems, always check if your mathematical solution makes physical sense—negative dimensions aren't possible for physical objects!

Access to all documents
Improve your grades
Join milions of students
Polynomial functions appear in many real-world situations, from designing boxes to modeling roller coaster tracks.
When creating an open box from a rectangular piece of cardboard, you cut equal squares from each corner and fold up the sides. If you start with a 9-by-11 inch piece and cut squares with side length x, the volume function is . This polynomial helps you find the maximum possible volume.
Polynomials also model physical situations like roller coaster designs. If represents a roller coaster section, and you need to place a loading zone at one of the zeros, you must find all zeros. Starting with the known zero x = 6 and using synthetic division, you get .
Further factoring gives , showing that possible loading zone locations are at x = 2, 4, or 6 .
Real-World Context: When solving application problems, always consider the context to eliminate impossible solutions—like negative lengths or locations in physical space.
Our AI companion is specifically built for the needs of students. Based on the millions of content pieces we have on the platform we can provide truly meaningful and relevant answers to students. But its not only about answers, the companion is even more about guiding students through their daily learning challenges, with personalised study plans, quizzes or content pieces in the chat and 100% personalisation based on the students skills and developments.
You can download the app in the Google Play Store and in the Apple App Store.
That's right! Enjoy free access to study content, connect with fellow students, and get instant help – all at your fingertips.
6
Smart Tools NEW
Transform this note into: ✓ 50+ Practice Questions ✓ Interactive Flashcards ✓ Full Practice Test ✓ Essay Outlines
App Store
Google Play
The app is very easy to use and well designed. I have found everything I was looking for so far and have been able to learn a lot from the presentations! I will definitely use the app for a class assignment! And of course it also helps a lot as an inspiration.
Stefan S
iOS user
This app is really great. There are so many study notes and help [...]. My problem subject is French, for example, and the app has so many options for help. Thanks to this app, I have improved my French. I would recommend it to anyone.
Samantha Klich
Android user
Wow, I am really amazed. I just tried the app because I've seen it advertised many times and was absolutely stunned. This app is THE HELP you want for school and above all, it offers so many things, such as workouts and fact sheets, which have been VERY helpful to me personally.
Anna
iOS user
I think it’s very much worth it and you’ll end up using it a lot once you get the hang of it and even after looking at others notes you can still ask your Artificial intelligence buddy the question and ask to simplify it if you still don’t get it!!! In the end I think it’s worth it 😊👍 ⚠️Also DID I MENTION ITS FREEE YOU DON’T HAVE TO PAY FOR ANYTHING AND STILL GET YOUR GRADES IN PERFECTLY❗️❗️⚠️
Thomas R
iOS user
Knowunity is the BEST app I’ve used in a minute. This is not an ai review or anything this is genuinely coming from a 7th grade student (I know 2011 im young) but dude this app is a 10/10 i have maintained a 3.8 gpa and have plenty of time for gaming. I love it and my mom is just happy I got good grades
Brad T
Android user
Not only did it help me find the answer but it also showed me alternative ways to solve it. I was horrible in math and science but now I have an a in both subjects. Thanks for the help🤍🤍
David K
iOS user
The app's just great! All I have to do is enter the topic in the search bar and I get the response real fast. I don't have to watch 10 YouTube videos to understand something, so I'm saving my time. Highly recommended!
Sudenaz Ocak
Android user
In school I was really bad at maths but thanks to the app, I am doing better now. I am so grateful that you made the app.
Greenlight Bonnie
Android user
I found this app a couple years ago and it has only gotten better since then. I really love it because it can help with written questions and photo questions. Also, it can find study guides that other people have made as well as flashcard sets and practice tests. The free version is also amazing for students who might not be able to afford it. Would 100% recommend
Aubrey
iOS user
Best app if you're in Highschool or Junior high. I have been using this app for 2 school years and it's the best, it's good if you don't have anyone to help you with school work.😋🩷🎀
Marco B
iOS user
THE QUIZES AND FLASHCARDS ARE SO USEFUL AND I LOVE Knowunity AI. IT ALSO IS LITREALLY LIKE CHATGPT BUT SMARTER!! HELPED ME WITH MY MASCARA PROBLEMS TOO!! AS WELL AS MY REAL SUBJECTS ! DUHHH 😍😁😲🤑💗✨🎀😮
Elisha
iOS user
This app is phenomenal down to the correct info and the various topics you can study! I greatly recommend it for people who struggle with procrastination and those who need homework help. It has been perfectly accurate for world 1 history as far as I’ve seen! Geometry too!
Paul T
iOS user
The app is very easy to use and well designed. I have found everything I was looking for so far and have been able to learn a lot from the presentations! I will definitely use the app for a class assignment! And of course it also helps a lot as an inspiration.
Stefan S
iOS user
This app is really great. There are so many study notes and help [...]. My problem subject is French, for example, and the app has so many options for help. Thanks to this app, I have improved my French. I would recommend it to anyone.
Samantha Klich
Android user
Wow, I am really amazed. I just tried the app because I've seen it advertised many times and was absolutely stunned. This app is THE HELP you want for school and above all, it offers so many things, such as workouts and fact sheets, which have been VERY helpful to me personally.
Anna
iOS user
I think it’s very much worth it and you’ll end up using it a lot once you get the hang of it and even after looking at others notes you can still ask your Artificial intelligence buddy the question and ask to simplify it if you still don’t get it!!! In the end I think it’s worth it 😊👍 ⚠️Also DID I MENTION ITS FREEE YOU DON’T HAVE TO PAY FOR ANYTHING AND STILL GET YOUR GRADES IN PERFECTLY❗️❗️⚠️
Thomas R
iOS user
Knowunity is the BEST app I’ve used in a minute. This is not an ai review or anything this is genuinely coming from a 7th grade student (I know 2011 im young) but dude this app is a 10/10 i have maintained a 3.8 gpa and have plenty of time for gaming. I love it and my mom is just happy I got good grades
Brad T
Android user
Not only did it help me find the answer but it also showed me alternative ways to solve it. I was horrible in math and science but now I have an a in both subjects. Thanks for the help🤍🤍
David K
iOS user
The app's just great! All I have to do is enter the topic in the search bar and I get the response real fast. I don't have to watch 10 YouTube videos to understand something, so I'm saving my time. Highly recommended!
Sudenaz Ocak
Android user
In school I was really bad at maths but thanks to the app, I am doing better now. I am so grateful that you made the app.
Greenlight Bonnie
Android user
I found this app a couple years ago and it has only gotten better since then. I really love it because it can help with written questions and photo questions. Also, it can find study guides that other people have made as well as flashcard sets and practice tests. The free version is also amazing for students who might not be able to afford it. Would 100% recommend
Aubrey
iOS user
Best app if you're in Highschool or Junior high. I have been using this app for 2 school years and it's the best, it's good if you don't have anyone to help you with school work.😋🩷🎀
Marco B
iOS user
THE QUIZES AND FLASHCARDS ARE SO USEFUL AND I LOVE Knowunity AI. IT ALSO IS LITREALLY LIKE CHATGPT BUT SMARTER!! HELPED ME WITH MY MASCARA PROBLEMS TOO!! AS WELL AS MY REAL SUBJECTS ! DUHHH 😍😁😲🤑💗✨🎀😮
Elisha
iOS user
This app is phenomenal down to the correct info and the various topics you can study! I greatly recommend it for people who struggle with procrastination and those who need homework help. It has been perfectly accurate for world 1 history as far as I’ve seen! Geometry too!
Paul T
iOS user